Ingeniería sísmica, núm. 113, 2024
Sociedad Mexicana de Ingeniería Sísmica A.C.
Miguel A. Jaimes MJaimesT@iingen.unam.mx
Universidad Nacional Autónoma de México, Mexico
Francisco A. Godínez * MJaimesT@iingen.unam.mx
Universidad Nacional Autónoma de México, Mexico
Universidad Nacional Autónoma de México, Mexico
Recibido: 10 junio 2022
Aceptado: 19 diciembre 2024
DOI: 10.18867/ris.113.617
Financiamiento
Fuente: DGAPA-PAPIIT-UNAM
Nº de contrato: IG100623
Resumen.: Este estudio numérico evalúa la efectividad de los amortiguadores de partículas (AP) en edificios, los cuales son capaces de reducir la respuesta lateral del sistema estructural primario cuando se someten a excitaciones sísmicas de banda estrecha. Primero, se estudió la respuesta sísmica de un sistema de un grado de libertad (1GDL) para tres configuraciones: 1) un sistema de 1GDL simple; 2) un sistema de 1GDL con amortiguador de masa resonante (AMR) y 3) un sistema de 1GDL con AP. Luego, se analiza la respuesta de marcos lineales de 11 y 17 pisos con AP, AMR y sin ellos bajo movimientos sísmicos de banda estrecha. Los resultados indican que la principal ventaja de un AP es la reducción significativa de las aceleraciones dinámicas de piso y desplazamientos laterales inducidos por sismos cuando la relación entre la frecuencia predominante de la excitación sísmica y la frecuencia predominante del edificio está cerca de la unidad y el primer modo de la edificación es dominante. Es fundamental llevar a cabo una validación y contraste experimental de estos hallazgos, con el fin de que los ingenieros puedan considerar la viabilidad de implementar los AP en estructuras expuestas a excitaciones sísmicas de banda estrecha, como ocurre en la Ciudad de México.
Palabras clave: Estructuras con amortiguadores de partículas, excitaciones sísmicas de banda estrecha, demanda de desplazamiento, sismos en la Ciudad de México.
Abstract.: This numerical study evaluates the effectiveness of Particle Dampers (PDs) on buildings, which are capable of reducing the lateral response of the primary structural system when subjected to narrow-band seismic excitations. First, the seismic response for maximum displacement of a single-degree-of-freedom (SDOF) system was studied for three configurations, namely: 1) a SDOF system without damper; 2) a SDOF system with Tuned Mass Damper (TMD) and 3) a SDOF system with PD. Then, the response of 11-storey and 17-storey three-bay linear frames with PD, TMD and without them are analyzed under narrow-band seismic motions. Results indicated that the main advantage of a PD is the significant reduction of floor accelerations and lateral displacements when the ratio between the predominant frequency of the ground earthquake excitation and the predominant frequency of the building is close to unity and the first mode of the frame becomes dominant. It is essential to carry out an experimental validation and contrast of these findings, so that engineers can consider the feasibility of implementing PDs in structures exposed to narrow-band seismic excitations, as is the case in Mexico City.
Keywords: structures with particle dampers, narrow-band seismic excitations, displacement demand, Mexico City earthquakes.
INTRODUCCIÓN
Las estructuras civiles, como los edificios de gran altura, son siempre susceptibles de sufrir cargas sísmicas y de viento. Bajo estas excitaciones, pueden producirse desplazamientos y aceleraciones excesivas en la parte superior de los edificios, causando molestias a los usuarios. En otras circunstancias, cuando las excitaciones son lo suficientemente intensas, pueden producirse daños estructurales, incluyendo eventos catastróficos. Por estas razones, es esencial tomar medidas para controlar las vibraciones excesivas y evitar así desastres. El amortiguador de masa resonante (AMR) es una tecnología que se ha utilizado tradicionalmente para suprimir y controlar pasivamente las vibraciones en estructuras (e.g., Den Hartog 1947, Vickery et al. 1970, Petersen 1980, Esteva 1993, Campbell 1995, Soto-Brito y Ruiz 1999, Ghorbani-Tanha et al. 2009, Lu y Chen 2011a, Lu y Chen 2011b, Lu et al. 2014). Sin embargo, el espectro de frecuencias con el que el AMR puede funcionar correctamente es limitado. Otra opción con bandas de frecuencia de supresión más amplias es el amortiguador de partículas (AP). Los amortiguadores de partículas son dispositivos de control pasivo, que aprovechan la disipación de energía mediante colisiones entre partículas, fricción y radiación de sonido para atenuar las vibraciones (Masri y Ibrahim 1973, Lu et al. 2014). Las aplicaciones de estos dispositivos abarcan muchos y variados campos, ya que esta tecnología exige bajos costos de fabricación, puede adaptarse a casi cualquier geometría y no se ve fuertemente afectada por las condiciones ambientales, en particular la temperatura, que puede tener efectos adversos en el rendimiento de los materiales viscoelásticos que suelen utilizarse para el aislamiento y la amortiguación de vibraciones (e.g., Masri e Ibrahim 1973, Bryce et al. 2000, Hu et al. 2008, Sims et al. 2005, Li y Darby 2006, Papalou y Masri 1996, Papalou y Strepelias 2014, Inoue et al. 2011, Sánchez y Carlevaro 2013, Yan et al. 2020).
Hasta ahora, sin embargo, la investigación sobre la eficacia de los AP en el control de la respuesta estructural debida a los terremotos se encuentra todavía en una fase temprana de desarrollo teórico y experimental (Lu et al. 2018a, Lu et al. 2020). En consecuencia, solo se pueden encontrar unos pocos ejemplos de aplicación práctica (Ogawa et al. 1997, Naeim et al. 2011) y, en cambio, se ha publicado una cantidad considerable de investigación básica centrada en la atenuación de las vibraciones estructurales. Por ejemplo, Sánchez y Carlevaro (2013) realizaron un análisis dinámico no lineal de un modelo mecánico de un solo grado de libertad (1GDL) con un amortiguador de partículas; y así obtuvieron el tamaño de espacio óptimo entre las partículas y las paredes del contenedor para el mejor desempeño del amortiguamiento granular. Lu et al. (2018b) realizaron un estudio paramétrico experimental para evaluar el rendimiento de un marco de acero de un piso equipado con un AP; y de esta manera, también desarrollaron un método numérico simplificado para diseñar de manera óptima el amortiguador de partículas. De forma similar a este estudio, hay muchos trabajos en los que la respuesta acoplada de sistemas elásticos con los AP es el objetivo central de investigación (Lu et al. 2016, 2017, 2018b, 2021). Los resultados de estos trabajos muestran que, en general, los AP instalados en sistemas elásticos son eficaces para reducir el desplazamiento máximo de piso; además, las fuerzas internas en un marco con los AP pueden ser significativamente menores a aquellas en un marco sin amortiguadores de este tipo.
Por lo tanto, aquí planteamos la hipótesis de que las aceleraciones y desplazamientos estructurales inducidos por excitaciones sísmicas de banda estrecha se reducen significativamente al colocar un AP, además, estas reducciones pueden ser similares al usar un AMR. En consecuencia, primero estudiamos la respuesta sísmica de un sistema de un grado de libertad (1GDL) para tres configuraciones: 1) un sistema de 1GDL simple; 2) un sistema de 1GDL con amortiguador de masa resonante y 3) un sistema de 1GDL con amortiguador de partícula.
A continuación, se analizan las respuestas de marcos lineales de 11 y 17 plantas con AP y con AMR, y sin ellos, considerando los parámetros de diseño apropiados que se encontraron previamente analizando las tres configuraciones con el sistema 1GDL. El estudio considera movimientos sísmicos de banda estrecha registrados en dos sitios ubicados en la Ciudad de México, que se sabe que generan una cantidad significativa de contenido de energía dentro de un rango estrecho de períodos estructurales (Teran-Gilmore y Jirsa, 2007). Cuando los sistemas estructurales están sujetos a movimientos sísmicos de banda estrecha y de larga duración, su capacidad para disipar energía disminuye a medida que el período estructural tiende a cero. La cantidad de entrada de energía a los sistemas estructurales debido a los movimientos de banda estrecha del suelo es sustancial, en comparación con la energía introducida por los movimientos de banda ancha (Teran-Gilmore y Jirsa, 2007). Por lo tanto, este estudio permite evaluar la eficacia de los AP en edificios para reducir la respuesta lateral sujeta a excitaciones sísmicas de banda estrecha.
Los hallazgos obtenidos a partir del análisis de la respuesta estructural de los edificios en la Ciudad de México durante eventos sísmicos devastadores, tales como los terremotos ocurridos en 1985 y 2017, necesitan ser confrontados y validados a través de experimentos. Esto es fundamental para desarrollar directrices que permitan la aplicabilidad de los AP y para definir con precisión sus parámetros de diseño.
DESCRIPCIÓN DEL PROCEDIMIENTO
La efectividad de las estructuras bajo excitaciones sísmicas de banda estrecha se describe en dos partes: (i) evaluación de la respuesta dinámica inducida por el sismo en sistemas de 1GDL con AP y AMR y sin ellos; y (ii) determinación de la respuesta lateral de marcos de 11 y 17 pisos con los dispositivos de control pasivo y sin ellos. Estas etapas previas se detallan a continuación.
Características de los sistemas de 1GDL
La respuesta de un sistema de 1GDL se estudia aquí para tres configuraciones: (1) un sistema de 1GDL sin amortiguadores; (2) un sistema de 1GDL con AMR; y (3) un sistema de 1GDL con AP (Fig. 1). Cabe hacer notar que en la Figura 1 también se muestran fotografías de un sistema de amortiguación de partículas instalado en un edificio en Santiago de Chile (Lu et al. 2012). El sistema funcionó muy bien durante el terremoto de 2010 en Maule, Chile y el edificio no sufrió ningún daño por encima del suelo o en cualquier piso subterráneo o paredes del sótano. En este estudio, un AMR es un dispositivo de control pasivo agregado a la parte superior del sistema, que consiste en una masa suspendida en una cuerda o barra pendular, sintonizada a cierta frecuencia natural del sistema. De esta manera, parte de la energía cinética de la estructura principal se transfiere a la masa suspendida (e.g., Den Hartog 1947, Fig. 1b). Por otro lado, un AP es un contenedor dentro del cual hay una o más partículas de acero, que, a través de las colisiones entre partículas, colisiones entre partículas y la pared del contenedor, suprimen vibraciones del sistema principal (e.g., Masri y Ibrahim 1973, Fig. 1c). Los movimientos sísmicos del suelo se ingresan como aceleraciones horizontales en la base. Las ecuaciones gobernantes de movimiento para cada configuración se presentan aquí.

Estructura de 1GDL simple
Se presenta la ecuación de movimiento de una estructura de 1GDL Fig. (1a). La ecuación diferencial gobernante de segundo orden está dada por
En Ec. (1), u ¨ 1 denota la aceleración de un sistema de 1GDL, u ¨ g denota la aceleración del suelo de entrada, ω 1 = k 1 / m 1 es la frecuencia no amortiguada (donde m 1 es la masa y k 1 es la rigidez), y ξ 1 = c 1 / 2 m 1 ω 1 es la relación de amortiguamiento viscoso nominal del oscilador 1GDL, es decir, del sistema estructural primario.
Estructura de 1GDL con amortiguador de masa sintonizado
La respuesta sísmica de una estructura de 1GDL con un AMR que se muestra en la Figura 1 (b) se puede calcular con la formulación presentada por Jerome (2002)
En el sistema de las Ecs. (2.1) y (2.2), u ¨ 2 representa la aceleración del sistema AMR, ω 2 = k 2 / m 2 es la frecuencia no amortiguada (donde m 2 es la masa y k 2 es la rigidez del sistema AMR), y ξ 2 = c 2 / 2 m 2 ω 2 es la relación de amortiguamiento viscoso nominal del sistema AMR. Por otro lado, en la Ec. (2.1), γ = m 2 / m 1 es la relación de masas entre el sistema AMR y el oscilador 1GDL.
Se puede observar que cuando el parámetro γ es igual a cero en la Ec. (2.1), se obtiene la formulación propuesta en la literatura para el caso del oscilador 1GDL elástico.
Estructura de 1GDL con amortiguador de partículas
Análogas a las Ecs. (2.1) y (2.2), las ecuaciones de movimiento para estructuras de 1GDL con AP (Fig. 1c), fueron formuladas por Masri e Ibrahim (1973). El conjunto gobernante de ecuaciones es
En la Ec. (3.2), u ¨ 2 representa la aceleración de la partícula; ω 2 = k 2 / m 2 es la frecuencia no amortiguada (donde m 2 es la masa de la partícula y k 2 es la rigidez de la interacción entre la partícula y el oscilador 1GDL), y ξ 2 = c 2 / 2 m 2 ω 2 es la relación de amortiguamiento viscoso nominal del AP. En este estudio, para determinar k 2 , consideramos la relación de frecuencia entre la partícula y el oscilador de 1GDL. Asumimos que la relación de frecuencias ω 2 / ω 1 está en el rango de 0.5 a 10, lo cual influye en la elección de k 2 . Este rango se selecciona para maximizar la eficacia del amortiguador de partículas bajo condiciones de resonancia. Se presentan más detalles en la Sección de Casos de Estudio. En la ecuación. (3.1), γ = m 2 / m 1 representa la relación de masa entre la partícula y el oscilador de 1GDL. Finalmente, en la Ec. (3.2), G δ y H δ , δ ˙ son funciones no lineales que describen el desplazamiento relativo δ = u 2 - u 1 y la velocidad relativa δ ˙ = u ˙ 2 - u 1 ˙ , de la partícula con respecto al oscilador 1GDL durante el proceso de impacto, que están asociados con la rigidez no lineal y la amortiguación del amortiguador de impacto (Masri e Ibrahim 1973, Figura 2). De acuerdo con la Figura 2, los AP disipan energía por colisión entre la partícula y la pared del contenedor solo cuando δ - d / 2 ≥ 0 (d es el espacio libre entre la partícula y el contenedor, es decir, la longitud del contenedor, ver Figura 3).

Esquema de resolución de ecuaciones diferenciales
La solución de las Ecs. (1), (2.1), (2.2), (3.1) y (3.2) se determinó a través de un esquema numérico. Se utilizó el método explícito, de orden cuatro, de Runge-Kutta (Butcher 2016), con un paso de integración temporal ( Δ t ) igual a 10 - 4 s , para la integración de todo el registro para cada movimiento de banda estrecha. El uso de un paso de integración pequeño se justifica por la necesidad de asegurar la precisión y estabilidad numérica en la solución de las ecuaciones diferenciales, especialmente cuando se trata de sistemas dinámicos que pueden experimentar cambios rápidos en las condiciones de carga.
Características de los edificios de marcos elásticos de 11 y 17 pisos
Los marcos analizados en este estudio representan edificios con periodos fundamentales de 1.4 y 2 s, respectivamente, con una planta de 12×12 m2 (Monsalvo, 2019). La altura de todos los pisos es de 3 m (ver Figura 3). Las secciones transversales de las vigas varían desde 0.2 m × 0.4 m hasta 0.3 m × 0.5 m. Las dimensiones de las columnas varían desde 0.5 m × 0.5 m en los primeros pisos hasta 0.4 m × 0.4 m en los niveles superiores. El módulo de elasticidad, E, es de 206,010,000 kN/m2. Estas dimensiones y el módulo de elasticidad fueron seleccionadas para asegurar los periodos estructurales deseados y se determinaron mediante el uso de un software de modelado estructural comercial SAP2000, utilizando elementos barra. Se asumió una relación de amortiguamiento igual al 5% del valor crítico. El peso total W t es de 9,456 kN para el edificio de 11 pisos y 24,590 kN para el de 17 pisos. La elección de estos edificios permite verificar la adecuación de las ecuaciones gobernantes de 1GDL para capturar la respuesta de sistemas de múltiples grados de libertad equipados con amortiguadores de partículas (AP) y amortiguadores de masa resonante (AMR). Además, se investiga la efectividad de los sistemas AP y AMR para controlar la respuesta cuando el periodo estructural principal de los edificios seleccionados está cerca de la frecuencia predominante del movimiento del suelo, es decir, bajo condiciones de resonancia para excitaciones sísmicas de banda estrecha.
La respuesta de los marcos sin amortiguadores se comparó con la de sistemas similares con un AMR y AP en la parte superior (i.e., en la azotea). El dispositivo de AMR fue representado por un sistema de 1GDL equivalente suspendido en la parte superior de la estructura primaria mediante barras de acero con la misma longitud L, como se muestra en la Fig. 3, esquina superior derecha. La longitud de la barra de acero se considera equivalente a la de un solo péndulo calculado como
En la ecuación. (4), T 2 = 2 π / ω 2 es el período natural del dispositivo AMR y g es la aceleración de la gravedad. Como se verá en las secciones siguientes, utilizando relaciones de período entre el contenedor y el marco T 2 / T 1 de 0.9, se calculan el valor de T 2 = 1.4 × 0.9 = 1.26 s y T 2 = 2 × 0.9 = 1.8 s , para los marcos elásticos de 11 y 17 pisos, respectivamente. Por lo tanto, se obtienen valores de L iguales a 0.394 m y 0.805 m para las barras pendulares en dichos marcos.
La rigidez lateral equivalente k 2 dada por la barra, que considera la interacción entre el sistema AMR y el sistema estructural primario, se calcula como (e.g., Chopra 2012, Monsalvo 2019):
donde E e I son el módulo de elasticidad y el momento de inercia, respectivamente, de la barra suspendida en la parte superior de la estructura primaria. Esta rigidez lateral equivalente se calcula considerando la barra como una viga en voladizo bajo una carga lateral uniforme. Este enfoque asume que la barra representa la interacción entre el sistema de amortiguadores de masa resonante (AMR) y la estructura primaria, y es una simplificación comúnmente utilizada en el análisis estructural para determinar la rigidez de elementos bajo condiciones ideales de carga.
La elección de esta ecuación se basa en su capacidad para proporcionar una buena aproximación de la rigidez lateral en situaciones donde los efectos de flexión predominan, lo que es adecuado para el tipo de análisis realizado en este estudio. Aunque esta simplificación no captura todos los posibles efectos dinámicos o no lineales, es válida para el propósito del análisis preliminar y se alinea con prácticas establecidas en la literatura (Monsalvo 2019).
Finalmente, en el caso del dispositivo de AP, para representar la caja contenedora de partícula (o partículas) se usan elementos rígidos que se fijan a la estructura primaria; y para modelar la interacción entre la partícula y las paredes del contenedor, se utilizan elementos de aislación de tensión/compresión (T/C) entre la partícula y las paredes del contenedor como se muestra en la Fig. (3), esquina superior derecha, que permiten la separación libre cuando la partícula se mueve dentro de la distancia d / 2 (i.e., la mitad del espacio libre entre la partícula y el contenedor, 0.1 ≤ d ≤ 1 m ), pero entran en contacto cuando la partícula choca con la pared del contenedor (es decir, δ - d / 2 ≥ 0 ). Estos elementos de aislación T/C son capaces de simular la transmisión de impacto debido a la colisión entre la masa de la partícula m 2 y la pared del contenedor con cierta rigidez k 2 y constante de amortiguamiento c 2 = 2 m 2 ξ 2 ω 2 de acuerdo con las características requeridas de interacción entre la partícula y el contenedor dado por la Ec. (3). Esto permite modelar la disipación de energía debido a las fuerzas de impacto entre la partícula y las paredes del contenedor.
CASOS DE ESTUDIO
Primero se presenta la respuesta de edificios de un piso bajo excitaciones sísmicas de banda estrecha. Se analizaron tres configuraciones: 1) un sistema de 1GDL simple; 2) un sistema de 1GDL con amortiguador de masa resonante (AMR) y 3) un sistema de 1GDL con AP. A continuación, se analiza la respuesta de marcos lineales de tres claros de 11 y 17 pisos con AP y AMR y sin ellos.
Movimientos de suelo fuertes
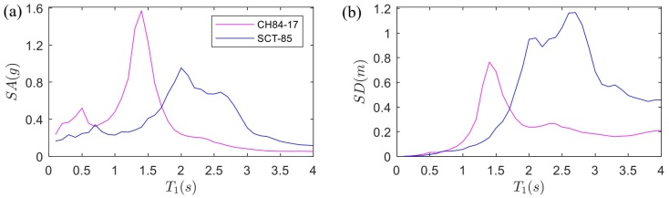
La respuesta inducida por sismos de las estructuras de 1GDL con AMR y AP durante los movimientos sísmicos de suelos de banda estrecha es muy sensible a la aceleración espectral, la duración y el contenido de frecuencia, así como a otras medidas de intensidad. La influencia del contenido de frecuencias del movimiento del suelo en la respuesta de la estructura de 1GDL se explica en este estudio mediante el uso de dos registros sísmicos de banda estrecha, representativos de movimientos de alta intensidad obtenidos en las estaciones acelerométricas CH84 y SCT, que se instalan sobre sitios de suelos blandos. Ambas estaciones están ubicadas sobre suelos arcillosos en lo que se conoce como la zona lacustre en la Ciudad de México. Estos sitios son de particular importancia ya que han registrado los movimientos sísmicos más intensos y destructivos desde que se instalaron los acelerómetros en la Ciudad de México. El primero a estudiar corresponde a un evento sísmico de Mw=7.1, ocurrido el 19 de septiembre de 2017 (CH84-17). El segundo a estudiar ocurrió el 19 de septiembre de 1985 (SCT-85), con magnitud Mw=8,1. La Figura 4 muestra los espectros de respuesta de aceleración SA (izquierda) y desplazamiento SD (derecha) del registro utilizado en este estudio. Estas representaciones muestran que el período dominante del suelo, T s , es alrededor de 1.4 y 2 s para los sitios CH84 y SCT, respectivamente. Esto significa que las relaciones de frecuencia entre la frecuencia predominante de la excitación del movimiento del suelo ω s y la frecuencia predominante de cada edificio ω 1 en estudio es cercana a la unidad i.e, r ω = ω 1 / ω s ~ 1 .

Respuesta dinámica de las estructuras de 1GDL inducidas por sismos
Se ejemplifica la respuesta inducida por sismos de estructuras de 1GDL con AP durante movimientos de suelo de banda estrecha, que podrían mejorar el desempeño de estructuras nuevas o antiguas en la Ciudad de México (ver Figura 1). Para todos los sistemas de 1GDL, los períodos del suelo T s se consideraron iguales a 1.4 s y 2 s, para los sitios CH84 y SCT, respectivamente. Se supuso que la relación de amortiguamiento ξ 1 es igual al 5% del valor crítico.
Parámetros que influyen en la respuesta del AP
La respuesta de los sistemas sin amortiguadores se comparó con la de sistemas similares con AMR y AP agregados en la parte superior (i.e., en la azotea). Se investiga la influencia de los siguientes tres parámetros del sistema sobre los efectos del control de vibraciones dinámicas: (1) la relación de período entre el contenedor AP y el oscilador de 1GDL, T 2 / T 1 , y el espacio libre entre la partícula y el contenedor, d; (2) la relación de masa entre el contenedor y el oscilador de 1GDL m 2 / m 1 y d; y (3) la relación de amortiguamiento entre la partícula y la estructura ξ 2 / ξ 1 y d. Las figuras 5(a)-5(c) muestran el efecto de estas relaciones (i.e., T 2 / T 1 , m 2 / m 1 , ξ 2 / ξ 1 ) sobre el desplazamiento máximo u 1 de los sistemas de 1GDL con AP (líneas sólidas) sometidos a los movimientos CH84-17 (izquierda, sistema con T 1 = T s = 1.4 s ) y SCT-85 (derecha, sistema con T 1 = T s = 2 s ) considerando el intervalo de separación entre la partícula y el contenedor igual a 0.1 ≤ d ≤ 1 m es decir, la longitud del contenedor. Las líneas discontinuas y discontinuas raya-punto de cada gráfico en la Fig. 5 son la respuesta de los sistemas de 1GDL simples y los sistemas de 1GDL con AMR, respectivamente.
1. La influencia de la relación de periodos T 2 ⁄T 1 es significativa en la respuesta del AP. Como se muestra en la Fig. 5a, cuando la relación de periodos T 2 ⁄T 1 es cercano o menor que 1, γ=m 2 ⁄m 1 =0.2 y los valores de d son pequeños, el sistema con AP logra desplazamientos menores con respecto a aquellos con AMR o simplemente un sistema de 1GDL. Por ejemplo, para valores de relación de período T 2 ⁄T 1 de aproximadamente 0.9 (izquierda, sistema T 1 =1.4 s sujeto a movimiento CH84-17) y (derecha, sistema T 1 =2 s sujeto a movimiento SCT-85), u 1 alcanza los valores más bajos de desplazamiento máximo. Además, observe que un aumento en la relación de período T 2 ⁄T 1 (es decir, T 2 ⁄T 1 >1.5) conduce a un aumento de los desplazamientos.
2. La relación de masas m 2 ⁄m 1 es otro factor clave. En la Fig. 5b se observa que para valores de relación de masa m 2 ⁄m 1 mayores a 0.1 y valores de d pequeños, se pueden lograr desplazamientos menores con respecto a aquellos con amortiguadores de masa resonante o simplemente sistemas de 1GDL.
3. La relación de amortiguamiento entre el contenedor y el oscilador 1GDL ξ 2 ⁄ξ 1 no parece influir de manera importante en la respuesta de desplazamientos máximos de la estructura principal. En la Fig. 5 (c) se aprecia que a medida que aumenta la relación de amortiguamiento ξ 2 ⁄ξ 1 (ξ 2 ⁄ξ 1 >1), los valores de desplazamientos máximos aumentan ligeramente para el sistema principal sujeto al movimiento CH84-17 (Fig. 5b izquierda) y SCT-85 (Fig. 5b derecha) para diferentes valores de d y con γ=m 2 ⁄m 1 =0.2.

Para los casos representados en las figuras 5b y 5c, T 2 = 0.9 T 1 = 1.26 s y T 2 = 0.9 T 1 = 1.8 s y se consideraron valores de ξ 1 = 0.05 en sistema principal, ξ 2 = 0.05 en el AMR y ξ 2 = 0.004 en el AP para el sistema sujeto a los movimientos CH84-17 y SCT-85, respectivamente.
En el Apéndice A se presentan figuras adicionales donde se muestran los desplazamientos máximos de la partícula u 2 versus los tres parámetros (i.e., T 2 / T 1 , m 2 / m 1 , ξ 2 / ξ 1 ) de control de vibración de los AP. Se aprecian tendencias de desplazamiento comparables a las que se muestran en la Fig. 5.
Historias de desplazamiento del sistema estructural primario
La historia de respuesta de desplazamiento de los sistemas de 1GDL sujetos al movimiento del suelo registrado en las estaciones CH84 (PGA=0.23 g; Figura 6a, izquierda, T 1 = 1.4 s , T 2 = 0.9 T 1 , γ = 0.2 , d = 0.2 m ) y SCT (PGA=0.16g; Figura 6b, derecha, T 1 = 2 s , T 2 = 0.9 T 1 , γ = 0.2 , d = 0.2 m ) de los sismos del 19 de septiembre de 2017 y de 1985, respectivamente, se muestran en la Figura 6 (los movimientos del suelo de entrada se muestran en la primera fila desde arriba). El contenido de frecuencia de estos movimientos de suelo de banda estrecha juega un papel clave en la demanda de desplazamiento. Por ejemplo, se observa que los desplazamientos son mayores para el sitio SCT (i.e., movimiento del suelo de baja frecuencia alrededor de 0.52 Hz, derecha) que para el sitio CH84 (i.e., movimientos del suelo de alta frecuencia alrededor de 0.76 Hz, izquierda). Además, esta figura muestra como la participación del AMR (tercera fila desde arriba), pero principalmente la del AP (cuarta fila desde arriba), podría tener un efecto importante en la generación de desplazamientos máximos más pequeños en la estructura en comparación con el sistema de 1GDL simple (segunda fila desde arriba).

Además, la Figura 6 muestra una comparación directa de la respuesta de 1GDL con AMR y AP con la respuesta del sistema de 1GDL simple (líneas grises). Los resultados ilustran que el desplazamiento del sistema de 1GDL disminuye significativamente si se le instala un AMR (tercera fila desde arriba) o un AP (cuarta fila desde arriba).
Historias de aceleración del sistema estructural primario
De manera análoga a la Figura 6, la historia de respuesta de aceleración en el tiempo de los sistemas de 1GDL sujetos al movimiento del suelo registrado en las estaciones CH84-17 (PGA=0.23 g, T 1 = 1.4 s , T 2 = 0.9 T 1 , γ = 0.2 , d = 0.2 m ) y SCT-85 (PGA=0.16g, T 1 = 2 s , T 2 = 0.9 T 1 , γ = 0.2 , d = 0.2 m ), se muestran en la Figura 7 (los movimientos del suelo de entrada se muestran en la primera fila desde arriba). La participación de los AMR (tercera fila desde arriba) pero principalmente de los AP (cuarta fila desde arriba) podría tener un efecto importante en la reducción de los efectos de vibración produciendo menores aceleraciones del piso en la estructura en comparación con el sistema de 1GDL sin amortiguadores (segunda fila desde arriba). Además, se muestra una comparación directa de la respuesta del sistema de 1GDL con AMR y AP junto con la respuesta del sistema de 1GDL simple (líneas grises). Los resultados ilustran que la aceleración del sistema de 1GDL disminuye significativamente si el sistema de 1GDL se equipa con un AMR (tercera fila desde arriba) o un AP (cuarta fila desde arriba).

Respuesta dinámica inducida por sismos en marcos elásticos de 11 y 17 pisos
Se ilustra la respuesta inducida por sismos de edificios de varios pisos con amortiguadores de partícula durante movimientos de suelo de banda estrecha, que podrían mejorar el desempeño de estructuras nuevas o antiguas en la Ciudad de México (ver Figura 3). En este estudio se consideran marcos elásticos de 11 y 17 pisos con periodos T 1 de 1.4 y 2 s, para los sitios CH84 y SCT, respectivamente. Se asume que la relación de amortiguamiento ξ 1 es igual al 5% del crítico. Más detalles se presentaron en la Sección previa “Análisis de edificios de marcos elásticos de 11 y 17 pisos”.
Historias de desplazamiento del sistema estructural primario
La respuesta de los marcos elásticos de 11 y 17 pisos en su parte superior (i.e., a nivel de azotea) sujetos al movimiento del suelo registrado en las estaciones CH84 (Figura 8, columna izquierda, PGA=0.23g, T 1 = 1.4 s , T 2 = 0.9 T 1 , γ = 0.2 , d = 0.2 m ) y SCT (Figura 8, columna derecha, PGA=0.16g, T 1 = 2 s , T 2 = 0.9 T 1 , γ = 0.2 , d = 0.2 m ), correspondientes a los sismos del 19 de septiembre de 2017 y del 19 de septiembre de 1985, respectivamente, se muestran en la Figura 8 (los movimientos del suelo de entrada se muestran en la primera fila desde arriba). Las propiedades de los AMR y los AP se definieron en términos de sus relaciones de masa ya sea del AMR o del AP con respecto a la del marco principal ( γ = 0.2 para ambos marcos), sus valores de amortiguamiento ( ξ 1 = 0.05 para estructura principal, ξ 2 = 0.05 para AMR y ξ 2 = 0.004 para AP), por las relaciones de sus períodos naturales al del marco ( T 2 = 0.9 T 1 = 1.26 s y T 2 = 0.9 T 1 = 1.8 s para marcos elásticos de 11 y 17 pisos, respectivamente) y por la holgura entre la partícula y el contenedor ( d = 0.2 m ). Como se describió en la sección anterior, dichos dispositivos de amortiguación (i.e., AMR y AP) y los parámetros utilizados resultaron adecuados para controlar los desplazamientos laterales de los sistemas de 1GDL. Por lo tanto, la respuesta de los marcos elásticos se compara con la respuesta de dichos sistemas de 1GDL (líneas punteadas). Se puede ver que los resultados de las historias de desplazamiento en la parte superior del sistema estructural primario (i.e., marcos elásticos de 11 y 17 pisos, líneas sólidas) son exitosamente consistentes con los calculados con las respuestas de los sistemas de 1GDL (líneas punteadas). Esto verifica que el modelo utilizado para representar el dispositivo de AP coincide adecuadamente con los resultados de la Ec. (3). Además, se comprueba que el uso de los AP podría reducir la respuesta lateral del sistema estructural primario cuando se somete a excitaciones sísmicas de banda estrecha, principalmente cuando las relaciones entre la frecuencia predominante de la excitación sísmica del suelo y la frecuencia predominante del edificio son cercanas a la unidad y el primer modo del marco se vuelve dominante.

Historias de aceleración del sistema estructural primario
De manera similar, que la Fig. 8, la respuesta temporal de aceleración de los marcos elásticos de 11 y 17 pisos sujetos a los movimientos del suelo CH84-17 (Figura 9a, izquierda, PGA=0.23 g, T 1 = 1.4 s , T 2 = 0.9 T 1 , γ = 0.2 , d = 0.2 m ) y SCT-95 (Figura 9b, derecha, PGA=0.16g, T 1 = 2 s , T 2 = 0.9 T 1 , γ = 0.2 , d = 0.2 m ), se muestran en la Figura 9 (los movimientos de suelo de entrada se muestran en la primera fila desde arriba). Las propiedades del AMR y AP se definieron previamente. Además, la respuesta de los marcos elásticos se compara con la respuesta de los sistemas de 1GDL (líneas punteadas). Evidentemente, las historias de tiempo de aceleración en la parte superior del sistema estructural principal (i.e., marcos elásticos de 11 y 17 pisos) concuerdan con las calculadas con los sistemas de 1GDL. Nuevamente, esto valida el modelo (Ec. (3)) utilizado para representar el AP. Además, es claro que el uso de dispositivos como los AP podría reducir la aceleración del piso del sistema estructural primario cuando se somete a excitaciones sísmicas de banda estrecha, principalmente cuando las relaciones entre la frecuencia predominante de la excitación del movimiento del suelo y la frecuencia predominante del edificio son próximas a la unidad y el primer modo del marco resulta dominante.

CONCLUSIONES
Este estudio evalúa la efectividad de los amortiguadores de partículas (AP) en edificios en términos de la aceleración de piso y desplazamiento lateral máximo debido a excitaciones sísmicas de banda estrecha. Se analizaron tres configuraciones: 1) un sistema de 1GDL sin amortiguadores; 2) un sistema de 1GDL con un amortiguador de masa resonante (AMR); y 3) un sistema de 1GDL con AP. Los resultados muestran que las respuestas de los sistemas estructurales primarios (es decir, marcos elásticos de 11 y 17 pisos) con AMR y AP son consistentes con las soluciones de las ecuaciones gobernantes de movimiento para los sistemas de 1GDL con AP. En consecuencia, el modelo utilizado para caracterizar los AP en los edificios es una tecnología prometedora para aminorar las vibraciones, aunque solo en situaciones particulares. El uso de los AP podría reducir la respuesta lateral de los sistemas estructurales primarios cuando se someten a excitaciones sísmicas de banda estrecha, principalmente cuando la relación entre la frecuencia predominante de la excitación sísmica del suelo y la frecuencia predominante del edificio es cercana a la unidad y el primer modo del marco se vuelve dominante. Así mismo, cuando se usa un AP y la relación de masas entre la partícula y el oscilador de 1GDL, m 2 / m 1 , es mayor a 0.1 se pueden lograr desplazamientos menores con respecto a aquellos con amortiguadores de masa resonante o en sistemas de 1GDL sin amortiguadores. Estos resultados muestran que dichas reducciones de respuesta estructural en el sistema principal con AP pueden ser menores que con el uso de otros dispositivos efectivos de control pasivo en estructuras sujetas a excitaciones sísmicas de banda estrecha. No obstante, para análisis futuros será aconsejable llevar a cabo un estudio comparativo que evalúe la efectividad de diversos dispositivos de control pasivo. Este análisis debe tener en cuenta variables como la frecuencia de excitación, el tipo de estructura involucrada y el contexto sísmico particular en el que se encuentren. El objetivo de esta investigación será identificar cuál de estos dispositivos representa la mejor opción para disminuir las respuestas estructurales en escenarios de riesgo sísmico.
AGRADECIMIENTOS
Esta investigación contó con el apoyo financiero del Proyecto DGAPA-PAPIIT-UNAM No. IG100623. Deseamos expresar nuestro más sincero agradecimiento a los revisores por su valiosa labor; sus comentarios y sugerencias nos han permitido no solo mejorar sustancialmente el manuscrito, sino también enriquecer su contenido.
REFERENCIAS
Bryce, L.F., Eric, M.F. y Steven, E.O. (2000). Effectiveness and predictability of particle damping, Proceedings of the SPIE's 7th Annual International Symposium on Smart Structures and Materials, International Society for Optics and Photonics.
Butcher, J. C. (2016). Numerical methods for ordinary differential equations. John Wiley and Sons.
Campbell, R. (1995). A true tall tale about the Hancock Tower, Boston Globe. 3.
Chopra, A. K. (2012). Dynamics of Structures: Theory and Applications to Earthquake Engineering (4th ed.). Prentice Hall.
Den Hartog, J. P. (1947). The Undamped and Damped Dynamic Vibration Absorbers. Mechanical Vibrations, 3, 112-113.
Esteva, L. (1993). Respuesta sísmica de cortante con osciladores resonantes Parte I. Funciones de amplificación dinámica. Informe al DDF. Instituto de Ingeniería UNAM, Proyecto 3521.
Ghorbani-Tanha, A.K., Noorzad, A. y Rahimian, M. (2009). Mitigation of wind-induced motion of Milad Tower by tuned mass damper, Struct. Des. Tall Spec. Build., 18(4), 371-385. http://dx.doi.org/10.1002/tal.421
Hu, L., Huang, Q.B. y Liu, Z.X. (2008). A non-obstructive particle damping model of DEM, Int. J. Mech. Mater. Des., 4(1), 45-51. https://doi.org/10.1007/s10999-007-9053-z
Inoue, M., Yokomichi, I., y Hiraki, K. (2011). Particle damping with granular materials for multi degree of freedom system. Shock and vibration, 18(1-2), 245-256. DOI: 10.3233/SAV-2010-0611
Jerome, J. C. (2002). Introduction to structural motion control. Prentice Hall Pearson Education, Inc., Upper Saddle River, New Jersey, 7458, 217-285.
Li, K., y Darby, A. P. (2006). Experiments on the effect of an impact damper on a multiple-degree-of-freedom system. Journal of Vibration and Control, 12(5), 445-464. http://dx.doi.org/10.1177/1077546306063504
Lu, X. y Chen, J. (2011a). Mitigation of wind-induced response of Shanghai Center Tower by tuned mass damper, Struct. Des. Tall Spec. Build., 20(4), 435-452. https://doi.org/10.1002/tal.659
Lu, X. y Chen, J. (2011b). Parameter optimization and structural design of tuned mass damper for shanghai centre tower, Struct. Des. Tall Spec. Build., 20(4), 453-471. https://doi.org/10.1002/tal.649
Lu, Z., Lu, X, Lu, W., y Masri, S. F. (2012). Experimental studies of the effects of buffered particle dampers attached to a multi-degree-of-freedom system under dynamic loads, Journal of Sound and Vibration, 331, 2007-2022. https://doi.org/10.1016/j.jsv.2011.12.022
Lu, Z., Wang, D., y Li, P. (2014). Comparison study of vibration control effects between suspended tuned mass damper and particle damper. Shock and Vibration, 2014. https://doi.org/10.1155/2014/903780
Lu, Z., Wang, D., Masri, S. F., y Lu, X. (2016). An experimental study of vibration control of wind-excited high-rise buildings using particle tuned mass dampers. Smart Structures and Systems, 18(1), 93-115. http://dx.doi.org/10.12989/sss.2016.18.1.093
Lu, Z., Chen, X., Zhang, D., y Dai, K. (2017). Experimental and analytical study on the performance of particle tuned mass dampers under seismic excitation. Earthquake Engineering & Structural Dynamics, 46(5), 697-714. https://doi.org/10.1002/eqe.2826
Lu, Z, Wang, Z, Masri, SF, y Lu, X. (2018a). Particle impact dampers: Past, present, and future. Struct Control Health Monit; 25:e2058. https://doi.org/10.1002/stc.2058
Lu, Z., Chen, X., y Zhou, Y. (2018b). An equivalent method for optimization of particle tuned mass damper based on experimental parametric study. Journal of Sound and Vibration, 419, 571-584. https://doi.org/10.1016/j.jsv.2017.05.048
Lu, Z., Masri, S. F., y Lu, X. (2020). Particle damping technology based structural control. Springe, ISBN 978-981-15-3498-0.
Lu, Z., Zhang, J., Wang, D. (2021). Energy analysis of particle tuned mass damper systems with applications to MDOF structures under wind-induced excitation. Journal of Wind Engineering and Industrial Aerodynamics, 218, 104766, 1-17. https://doi.org/10.1016/j.jweia.2021.104766
Masri, S. F., y Ibrahim, A. M. (1973). Response of the impact damper to stationary random excitation. The Journal of the Acoustical Society of America, 53(1), 200-211. https://doi.org/10.1121/1.1913319
Monsalvo, I. (2019). Efectos de los amortiguadores de masa sintonizada en la respuesta sísmica de estructuras de la Ciudad de México, Tesis maestría, Instituto de Ingeniería UNAM.
Naeim, F., et al. (2011). Performance of tall buildings in Santiago, Chile during the 27 February 2010 offshore Maule, Chile earthquake. The Structural Design of Tall and Special Buildings, 20 (1), 1-16. https://doi.org/10.1002/tal.675
Ogawa, K., T. Ide, y T. Saitou. 1997. Application of impact mass damper to a cable-stayed bridge pylon. Journal of Wind Engineering and Industrial Aerodynamics 72 (1-3), 301-312. https://doi.org/10.1016/S0167-6105(97)00265-1
Papalou, A. y Masri, S.F. (1996). Performance of particle dampers under random excitation, J. Vib. Acoust. T- ASME. 118(4), 614-621. https://doi.org/10.1115/1.2888343
Papalou, A. y Strepelias, E. (2014). Effectiveness of particle dampers in reducing monuments’ response under dynamic loads, Mech. Adv. Mater. Struct., 23 (2),128-135. https://doi.org/10.1080/15376494.2014.943913
Petersen, N.R. (1980). Design of large scale tuned mass dampers, Struct. Control, 581-596.
Sánchez, M., y Carlevaro, C. M. (2013). Nonlinear dynamic analysis of an optimal particle damper. Journal of Sound and Vibration, 332(8), 2070-2080.
SAP2000 (2016). Computers and Structures, Inc. SAP2000 Integrated Software for Structural Analysis and Design, Version 17.2.0*. Berkeley, CA: Computers and Structures, Inc.
Sims, N.D., Amarasinghe, A. y Ridgway, K. (2005). Particle dampers for workpiece chatter mitigation, Manuf. Eng., 16(1), 825-832. https://doi.org/10.1115/IMECE2005-82687
Soto‐Brito, R., y Ruiz, S. E. (1999). Influence of ground motion intensity on the effectiveness of tuned mass dampers. Earthquake engineering & structural dynamics, 28(11), 1255-1271. https://doi.org/10.1002/(SICI)1096-9845(199911)28:11%3C1255::AID-EQE865%3E3.0.CO;2-C
Teran‐Gilmore, A., y Jirsa, J. O. (2007). Energy demands for seismic design against low‐cycle fatigue. Earthquake Engineering & Structural Dynamics, 36(3), 383-404. https://doi.org/10.1002/eqe.663
Vickery, B.J., Davenport, A.G. y Wargon, C. (1970), An investigation of the behaviour in wind of the proposed centrepoint tower in Sydney, Australia, Boundary Layer Wind Tunnel Laboratory, Faculty of Engineering Sciences, University of Western Ontario, London, Ontario, Canada.
Yan, W., Wang, B., y He, H. (2020). Research on damping mechanism and parameter analysis of particle damper based on energy theory. Journal of Engineering Mechanics, 146(6), 04020054. https://doi.org/10.1061/(ASCE)EM.1943-7889.0001772
APENDICE A. CONTORNOS DE DESPLAZAMIENTOS MÁXIMOS DE LA PARTÍCULA
Notas de autor
*Autor para correspondencia: fgodinezr@iingen.unam.mx.
cygnusmind