Ingeniería sísmica, núm. 113, 2024
Sociedad Mexicana de Ingeniería Sísmica A.C.
Miguel A. Jaimes mjaimest@iingen.unam.mxfgodinezr@iingen.unam.mx
Universidad Nacional Autónoma de México, Mexico
Mauro Niño
Universidad Nacional Autónoma de México, Mexico
Francisco A. Godínez mjaimest@iingen.unam.mxfgodinezr@iingen.unam.mx
Universidad Nacional Autónoma de México, Mexico
Universidad Nacional Autónoma de México, Mexico
Recibido: 11 mayo 2023
Aceptado: 29 diciembre 2024
DOI: 10.18867/ris.113.639
Financiamiento
Fuente: PAPIIT-UNAM
Nº de contrato: IG100623
Resumen.: Este estudio evalúa la fragilidad sísmica de estructuras de concreto reforzado (CR) de primer piso débil rehabilitadas con amortiguadores de inercia rotacional con embrague (Clutching Inerter Dampers, CID) a nivel del suelo cuando se someten a excitaciones sísmicas de banda angosta. Las principales ventajas que aportan los CID a nivel del suelo son las reducciones en las demandas sísmicas (e.g., distorsiones de entrepiso, aceleraciones de piso y cortantes de entrepiso). Este estudio muestra que las estructuras con CID llegan a ser sistemas confiables en términos de distorsiones máximas de entrepisos y aceleraciones de piso para moderados y grandes movimientos sísmicos del suelo. La tasa de daño de estructuras con amortiguadores de inercia rotacional con embrague a nivel del suelo es en general menor para edificaciones bajo intensidades sísmicas asociadas con estados límite de colapso incipiente, especialmente para edificaciones de baja altura. Los hallazgos de este estudio podrían guiar a los ingenieros de la práctica a usar amortiguadores de inercia rotacional con embrague en la rehabilitación de estructuras dúctiles de marcos de CR de primer piso débil sujetos a excitaciones sísmicas de banda angosta en zonas como la Ciudad de México.
Palabras clave: amortiguadores, inercia rotacional, embrague, primer piso débil, excitaciones sísmicas, banda angosta, fragilidad sísmica, mitigación, demanda sísmica, México.
Abstract.: This study evaluates the seismic fragility of weak first-story reinforced concrete (RC) structures retrofitted with clutching inerter dampers (CID) at their ground level when subjected to narrow-band seismic excitations. The main advantages brought about by the ground-level clutching inerters are the reductions in seismic demands (e.g., drifts, floor accelerations). This study shows that structures with inerters are reliable systems in terms of peak story drifts for large ground motions. The reliabilities of structures with inerter dampers at their ground level are in general higher for buildings under seismic intensities associated to incipient collapse limit states, especially for low-height buildings. The findings of this study could guide practicing engineers to use clutching inerter-based dampers in retrofitting ductile structures consisting of moment-resisting (RC) frames subjected to narrow-band earthquake excitations in regions such as Mexico City.
Keywords: clutching inerter dampers, rotational inertia, clutch, weak first story, seismic excitations, narrow band, seismic fragility, mitigation, seismic demand, México.
INTRODUCCIÓN
Sismos recientes han puesto de manifiesto la alta vulnerabilidad de edificios construidos a base de marcos dúctiles resistentes a momentos debido a su planta baja flexible o varios pisos por encima del suelo (Villaverde, 1991, Hall et al., 1995, Alavi y Krawinkler, 2004a, b). De acuerdo con Villaverde (1991), los factores que contribuyen a las fallas de piso blando son la baja rigidez lateral y la resistencia de uno o más marcos resistentes dentro de un nivel de piso dado, la amplitud y duración del movimiento del suelo, así como grandes deformaciones plásticas en las uniones de las columnas, lo que induce inestabilidad lateral debido a efectos p-δ. Este mecanismo de colapso ha sido un problema durante mucho tiempo, no solo en la Ciudad de México (Villaverde 1991, Rosenblueth y Meli, 1985) sino también en otras regiones sísmicas a nivel mundial (AIJ, 1997, AIJ 2011). Un ejemplo de la alta vulnerabilidad sísmica de estructuras de marcos de piso blando se mostró durante la ocurrencia del sismo de Michoacán de 1985, Mw8.1, donde aproximadamente el 37 % de los edificios derrumbados (78 de 210) en la Ciudad de México involucraron la falla de uno o más pisos blandos. De manera similar, 44 edificios de varios pisos colapsaron debido al sismo Mw7.1 Morelos-Puebla de 2017, 40 de los cuales fueron construidos antes de 1985; un total de 25 de los 40 presentaron un mecanismo de piso blando (Figura 1) (Galvis et al., 2020).

Por lo tanto, es fundamental emprender acciones para controlar las demandas excesivas de deformación en edificios que son propensos a este mecanismo de falla. Existen diferentes estrategias para mejorar la seguridad estructural y la resiliencia mediante la implementación de dispositivos innovadores de protección sísmica en estructuras nuevas y existentes (Lago et al. 2018). Estas tecnologías se basan en sistemas de control pasivo, aislamiento y amortiguamiento, que podrían utilizarse para evitar daños en elementos estructurales y no estructurales. Los dispositivos de amortiguamiento más populares son los que dependen del desplazamiento y la velocidad; tienen ventajas, pero también limitaciones. Sin embargo, una tercera categoría que no es tan común se basa en los amortiguadores de inercia rotacional con embrague (Clutching Inerter Dampers, CID) en los que la respuesta se controla agregando inercia a la estructura y un embrague que se explica más adelante.
Dada la efectividad de los CID para controlar los desplazamientos sísmicos, se estudia la fragilidad sísmica de las estructuras de CR de primer piso débil con CID a nivel del suelo para controlar las demandas sísmicas. El estudio utiliza movimientos del suelo de banda angosta, como los registrados en varios sitios ubicados en suelo de transición y blando de la Ciudad de México. Se sabe que los movimientos de suelo de banda angosta en la Ciudad de México generan una cantidad significativa de contenido de energía dentro de un rango estrecho de períodos estructurales (Teran-Gilmore y Jirsa, 2007). Cuando los sistemas estructurales están sujetos a movimientos de suelo de banda angosta y de larga duración, su capacidad para disipar energía disminuye a medida que el período estructural tiende a cero. La cantidad de entrada de energía a los sistemas estructurales debido a los movimientos del suelo de banda angosta es sustancial en comparación con la energía introducida por los movimientos del suelo de banda ancha (Teran-Gilmore y Jirsa, 2007).
Antes de llevar a cabo un reforzamiento o rehabilitación de estructuras existentes, es fundamental llevar a cabo una evaluación sísmica adecuada (Valente y Milani, 2018). Por lo tanto, en este estudio, se plantea la hipótesis de que se puede mejorar el desempeño de las estructuras de CR de primer piso débil, y que se puede reducir significativamente la probabilidad de que experimenten un colapso de piso blando durante las excitaciones sísmicas de banda angosta mediante el uso de un sistema CID a nivel del suelo, especialmente para grandes movimientos del terreno, i.e., intensidades sísmicas asociadas con estados límite de colapso incipiente. Este estudio incluye registros de grandes sismos (1985 y 2017), ya que estos eventos causaron daños importantes en varias estructuras de planta baja débil, de baja a mediana altura, ubicadas en la cuenca de la Ciudad de México. Para el alcance de este estudio, se utilizó un conjunto de tres edificios regulares en planta y elevación de CR con muros de relleno de mampostería sobre el primer piso (Ruiz-García y Cárdenas, 2021). Estos edificios fueron diseñados de acuerdo con las Normas Técnicas Complementaros de Sismos de 1976 i.e., NTCS-1976 (García-Ranz y Gómez, 1988). Como es sabido, un edificio real tiene muchos grados de libertad, lo que contribuye en cierta medida a su irregularidad e.g., Alam et al. (2020). En el presente estudio, se desprecia el efecto de acoplamiento lateral-torsional y el amortiguador inercial; esto podría conducir a una sobreestimación de la eficacia del sistema CID.
AMORTIGUADOR DE INERCIA ROTACIONAL CON EMBRAGUE
Un amortiguador de inercia rotacional con embrague es un dispositivo mecánico de control que ha ganado popularidad para minimizar y controlar pasivamente las vibraciones en las estructuras (Arakaki et al. 1999a, b, Hwang et al. 2007, Lazar et al. 2014, Makris y Kampas 2016, Málaga-Chuquitaype et al. 2019, Makris y Moghimi 2019, Moghimi y Makris 2021, Jaimes et al. 2023). Un amortiguador de inercia rotacional es un dispositivo de modificación de respuesta mecánica cuya fuerza de resistencia es proporcional a las aceleraciones relativas entre sus nodos terminales (Smith 2002). Este se basa en la propiedad de inercia, m r , con unidades de masa (Smith 2002, Papageorgiou y Smith 2005) que pueden escalar independientemente del peso del dispositivo. Esta propiedad de inercia se puede lograr, ej., utilizando volantes suplementarios que se ponen en movimiento a través de sistemas de piñón y cremallera o ball-screw (Arakaki et al. 1999a, b y Patton 1980). Sin embargo, un desafío con la implementación de amortiguadores inerciales es que los volantes giratorios solo deben resistir el movimiento de la estructura principal, sin inducir ninguna deformación. Esto puede conseguirse utilizando un mecanismo de embrague unidireccional, mediante el cual se pueden acoplar y desacoplar diferentes elementos que conforman el amortiguador inercial. Es importante destacar que el CID, como dispositivo mecánico, no introduce un comportamiento histerético propio, ya que opera mediante la interacción de elementos mecánicos, como volantes, piñones y embragues, diseñados para modificar la respuesta dinámica de la estructura. Su no linealidad no está asociada al material, sino a los mecanismos internos que controlan el acoplamiento y desacoplamiento de los volantes suplementarios. En el presente estudio, la no linealidad del comportamiento estructural modelado radica en las columnas del sistema de planta baja débil, que podrían exhibir un comportamiento histerético bajo demandas sísmicas significativas. El CID se utiliza aquí para modificar la respuesta dinámica global, con el objetivo de limitar las demandas de desplazamiento y reducir el daño inducido en las columnas del sistema de planta baja débil, particularmente bajo movimientos de suelo de banda angosta característicos de la cuenca de la Ciudad de México. De esta manera, se evalúa si el CID puede mejorar el desempeño de la estructura sin aumentar de forma significativa las demandas sobre los elementos estructurales críticos.
La Figura 2 esquematiza un arreglo de amortiguador inercial propuesto en Makris y Kampas (2016). En este caso, se emplean una cremallera, un volante 1 acoplado a un piñón 1 (estos dos elementos van montados sobre un sistema de embrague rotacional unidireccional) y un volante 2 unido a un piñón 2. El movimiento hacia la derecha de la masa m 1 y de la cremallera inducen la rotación (en el sentido de las manecillas del reloj) del piñón 1 y el volante 1 (que también juega el rol de rueda dentada); este último, a su vez engrana con el piñón 2 haciéndolo rotar (junto con el volante 2) en dirección contraria a las manecillas del reloj. El empleo de los dos volantes en serie amplifica el efecto de la inercia rotacional. Cuando el movimiento de la masa m 1 y la cremallera cambian de sentido hacia la izquierda, el sistema de embrague desacopla el volante 1 del piñón 1; como consecuencia, el piñón 1 gira libremente en dirección contraria a las manecillas del reloj. Es importante hacer notar la necesidad de un segundo sistema de amortiguador rotacional como el arriba descrito, el cual debe amortiguar la vibración estructural cuando el desplazamiento de la masa m 1 se desarrolla hacia la izquierda. Otras variantes de sistemas de amortiguadores de inercia rotacional con embrague se encuentran en Thiers-Moggia y Málaga-Chuquitaype (2020, 2021). Todo el arreglo mecánico se llama amortiguador de inercia rotacional con embrague (Makris y Kampas, 2016, Thiers-Moggia y Málaga-Chuquitaype, 2020, 2021). Si se proporciona un sistema de fluencia para un sistema de un solo grado de libertad (1GDL) con resistencia Q 1 y fuerza de fluencia F y 1 con un CID apoyado en un marco Chevron rígido (Figura 2), las ecuaciones gobernantes resultantes son (Moghimi y Makris, 2021):

En las Ecuaciones 1 a 3, u ¨ g es la aceleración del suelo, ξ 1 es el amortiguamiento nominal, ω 1 = k 1 / m 1 es la frecuencia nominal con masa m 1 y rigidez precedente k 1 , y α es la relación de rigideces de fluencia a post-fluencia. z 1 es un parámetro que introduce el comportamiento histerético en las columnas dado por el modelo de Bouc-Wen, donde β, ζ y n son los parámetros que definen el ciclo histerético (Bouc 1971, Wen 1976), y u y 1 es el desplazamiento de fluencia y s g n es la función signo. Finalmente, σ = m r / m 1 es la relación de inertancia o relación de masa aparente (Smith 2002). El coeficiente σ puede asumir cualquier valor deseado con suficiente tamaño y número de volantes suplementarios en movimiento a través de sistemas de piñón y cremallera o ball-screw (Arakaki et al. 1999a, b y Patton 1980). Cuando se emplea un CID, los volantes solo resisten el movimiento de la estructura y no devuelven energía a la estructura (Moghimi y Makris 2021, Thiers-Moggia y Málaga-Chuquitaype 2020, 2021).
Se considera que el presente estudio además de proponer una solución al fenómeno de planta baja débil, aumenta la comprensión de las ventajas y desventajas de los amortiguadores de inercia rotacional con embrague (CID) con respecto a otros dispositivos de protección sísmica, como se describe en el cuerpo y conclusiones de este trabajo.
EDIFICACIONES CONSIDERADAS
Para este estudio se adoptan estructuras regulares (simétricas) en planta y elevación de Ruiz-García y Cárdenas (2021). Se consideran estructuras de primer piso débil, no solo porque no se proporcionan muros de relleno en el primer piso (lo que lleva a una rigidez mucho menor en ese nivel), sino también porque se adoptan como representativos de estructuras típicas con este mecanismo de falla observado durante un informe de reconocimiento de campo después del sismo Mw7.1 Morelos-Puebla de 2017 (Ruiz-García y Cárdenas, 2021). Se consideran estructuras con una altura de 4.5 m desde el suelo hasta el primer piso, y una altura de entrepiso igual a 3 m para los demás niveles. Tienen una vista en planta cuadrada con tres claros de 7 m en cada dirección. La vista en planta indicada en la Figura 3 es común a los tres edificios considerados, excepto que tienen diferente número de pisos: 4, 6 y 8, como se muestra en la Figura 4.


En la Figura 4 se muestran los muros exteriores de mampostería de relleno con aberturas y los muros interiores de mampostería de relleno sin aberturas; no se proporcionan paredes en el primer piso. Para los vanos se considera una configuración simple solo para distinguir entre fachada y muros interiores (Ruiz-García y Cárdenas 2021). Mayores detalles respecto de las ubicaciones de columnas y vigas, así como sus secciones transversales, incluyendo los arreglos del acero de refuerzo se encuentran en el trabajo de Ruiz-García y Cárdenas (2021), Cárdenas (2017), y Gregorio (2020).
La versión de las Normas Técnicas para el Diseño Sísmico de la Ciudad de México de 1976 (García-Ranz y Gómez 1988) se emplea en el diseño de las edificaciones anteriores empleando un factor de Comportamiento Sísmico Q igual a 4 (factor relacionado con la reducción de la demanda considerando una ductilidad alta para el valor seleccionado). Mayores detalles se encuentran disponibles en el estudio realizado por Ruiz-García y Cárdenas (2021), quienes compararon el desempeño sísmico de estos edificios versus el desempeño de sus contrapartes, pero como si estuvieran diseñados con la versión actualizada de las Normas Técnicas de Diseño Sísmico 2017, que incluye expresamente Normas de diseño para edificios de planta baja débil. Cabe mencionar que Ruiz-García y Cárdenas (2021) encontraron, en términos generales, que las nuevas regulaciones mejoran exitosamente el comportamiento sísmico y son efectivas para las demandas sísmicas esperadas en la Ciudad de México para los movimientos de suelo considerados. Sin embargo, concluyen que las regulaciones actualizadas retrasan la formación del mecanismo de piso débil y que la distorsión máxima (posiblemente daño) podría migrar a los niveles superiores.
Con base en lo anterior, en este trabajo los edificios estudiados se consideran como representativos de las estructuras existentes diseñadas según la normativa de 1976, que podrían ser readaptadas con amortiguadores para mejorar su comportamiento sísmico, tal como lo recomiendan Ruiz-García y Cárdenas (2021).
Análisis dinámicos de los edificios
Los análisis dinámicos no lineales se realizaron utilizando el modelado OpenSees (McKenna 2011) en solo la mitad de cada edificio debido a su simetría en el plano (ver el rectángulo representado con las líneas discontinuas en la Figura 3). Por lo tanto, un marco exterior y un marco interior se consideran vinculados a través de elementos de marco rígidos (es decir, modelos bidimensionales de línea central), lo que implica que cada piso tiene la misma deformación lateral (consideración de diafragma rígido) como se puede observar en la Figura 4, donde también se observa que los amortiguadores de inercia rotacional con embrague se colocan únicamente en los marcos exteriores en las ubicaciones representadas.
Los elementos de concreto reforzado (columnas y vigas) se modelaron considerando un modelo de fibras, ya que éstos son los modelos más prometedores para el análisis no lineal de elementos de concreto reforzado son, hasta la fecha. Con el fin de considerar el comportamiento esfuerzo-deformación del elemento de concreto bajo cargas cíclicas, se implementó el material Concrete02, que permite la construcción de un objeto de material de concreto uniaxial con resistencia a la tensión y comportamiento de ablandamiento por tensión lineal especificado por la relación esfuerzo-deformación de Kent-Park (Kent y Park, 1971). De manera similar, el acero de refuerzo se modeló considerando el modelo de Giuffre-Menegotto-Pinto, que contempla el endurecimiento por deformación isotrópica, el cual se identifica en OpenSees como material Steel02 (Mazzoni et al. 2006).
Los pesos totales W, los períodos del primer modo T 1 y el porcentaje de la masa efectiva de los modos requeridos para lograr el mínimo del 90% de la masa total requerida en los estándares empleados se enumeran en la Tabla 1 para cada edificio analizado. Todos los edificios tienen un período fundamental T 1 cercano a la unidad como se muestra en la Tabla 1. En esta tabla, la designación de cada modelo es similar a la de Ruiz-García y Cárdenas (2021), es decir, la etiqueta EXQY (columna 1 en la Tabla 1) denota el número de pisos para el factor X y el factor de Comportamiento Sísmico, Q, para Y (por ejemplo, E4Q6 corresponde a un edificio de 4 pisos diseñado para un factor Q igual a 6). Como se explicó anteriormente, este factor está ligado al comportamiento de ductilidad de las edificaciones y varía para diferentes versiones de la normatividad sísmica que rige en la Ciudad de México. En este estudio, solo se señala que diferentes factores Q conducen a diferentes elementos estructurales diseñados. Se remite al lector interesado a Ruiz-García y Cárdenas (2021) y sus referencias (Cardenas 2017, Gregorio 2020) para obtener más detalles al respecto.
|
|
|
|
|
| E4Q6 | 5,928 | 1.02 | 89.4, 8.8, 1.1 |
| E6Q6 | 9,186 | 1.04 | 87.3, 9.8, 2.0 |
| E8Q6 | 13,574 | 0.98 | 83.9, 11.6, 2.5 |
| E4Q4 | 5,972 | 0.87 | 89.3, 9.1, 1.2 |
| E6Q4 | 9,330 | 0.97 | 87.2, 10, 1.9 |
| E8Q4 | 13,771 | 0.92 | 83.8, 10.8, 2.5 |
Como se observa en la tabla anterior, el modo fundamental participa con más del 80% de la respuesta; sin embargo, también se consideran modos superiores en el cálculo de la respuesta lateral de la estructura. Como se puede observar en la Tabla 1, el modo fundamental controla la respuesta ya que cada uno de los modos superiores contribuye con menos del ~10% en la mayoría de los casos; sin embargo, modos superiores fueron considerados en los análisis. Se espera que estas características no varíen cuando se ubican los amortiguadores de inercia en las estructuras, ya que se ubican en el primer piso. Además, la masa del amortiguador se distribuye sobre el marco Chevron, que se apoya directamente en la estructura de cimentación. Por lo tanto, la masa y la rigidez del marco Chevron no cambiarán ni los períodos de vibración ni las formas modales de la estructura, y lo mismo se aplica a la masa efectiva asociada con cada modo de vibrar. Aunque los problemas relacionados con la energía almacenada en el amortiguador de inercia rotacional y las fuerzas de transferencia posteriores al sistema de soporte se ignoran en el presente estudio, éstas podrían investigarse en investigaciones futuras.
Modelado del amortiguador inercial con embrague
La Figura 5 muestra una representación esquemática de un CID con los principales parámetros utilizados para establecer el modelo numérico propuesto por Málaga-Chuquitaype et al. (2019). En la Figura 5 se observan dos nodos conectados a través de un eslabón rígido de longitud denotada como ρ. Una inercia rotacional o masa angular denotada como I w se asigna al grado de libertad rotacional (Nodo A). Esto se hace para que el desplazamiento lateral relativo entre los dos nodos (A y B) se traduzca en una rotación en el Nodo A. El Nodo A corresponde al pivote del volante. Por otro lado, el Nodo B representa el piñón. Dependiendo del valor deseado de la propiedad de inercia obtenida como m r = I w / ρ 2 , ρ e I w pueden variar. La llamada relación de masa aparente σ se puede determinar para el edificio considerado como = m r / ∑ i = 1 n m i = m r / m T , donde m i es la masa del piso i, n es el número total de pisos, y m T = W / g es la masa de toda la estructura (masa total). Para el alcance de este estudio, cada edificio tiene ρ =0.5 m, y σ es igual a 1 o 3. Dichos valores fueron calculados considerando la colocación de los CID. El mecanismo de embrague en el amortiguador de inercia rotacional, para asegurar que el sistema solamente resista el movimiento de la estructura, se implementó en el software OpenSees (McKenna 2011) como es sugerido por Málaga-Chuquitaype et al. (2019).

SELECCIÓN DE PELIGRO SÍSMICO Y MOVIMIENTO DEL SUELO
Peligro sísmico en suelos blandos
Para evaluar la influencia de los movimientos del suelo (e.g., contenido de frecuencia) en la respuesta sísmica de estructuras de CR de planta baja débil con CID a nivel del suelo debido a sismos de banda angosta en la Ciudad de México, se llevó a cabo un análisis de fragilidad para estas estructuras para dos estaciones de suelo blando (zona de lecho de lago): la estación CH84 y la estación SCT, ambas en la Ciudad de México con un período dominante de suelo T s de aproximadamente 1.4 y 1.9 s, respectivamente. Las estaciones antes referidas se encuentran a una distancia aproximada de 110 km y 300 km de los epicentros de los eventos Morelos-Puebla y Michoacán, ocurridos en 2017 y 1985 con Mw de 7.1 y 8.1, respectivamente. Estas estaciones son de particular importancia porque han registrado los movimientos sísmicos más intensos y destructivos desde que se instalaron acelerómetros en la Ciudad de México, i.e., el sismo Mw7.1 del 19 de septiembre de 2017 (estación CH84) y el sismo Mw8.1 del 19 de septiembre de 1985 (estación SCT); sismos que causaron daños severos a edificios de baja a mediana altura con configuraciones de planta baja débiles.
Se desarrolla un análisis de peligro sísmico probabilista (PSHA) para calcular la tasa de excedencia de la pseudo-aceleración espectral (SA) asociada con periodos estructurales dados en las ubicaciones seleccionadas. Sin embargo, debido a la falta de modelos de predicción del movimiento del suelo específicos para los sitios seleccionados, se utiliza un enfoque aproximado que incluye los efectos del sitio en el PSHA. Para una medida de intensidad y en un sitio de suelo blando (para este estudio y = S A ), la tasa de excedencia λ s ( y ) se obtiene usando la siguiente expresión (Esteva, 1970):
donde λ r ∙ denota la tasa de excedencia de SA en condiciones de roca, y AF es un factor de amplificación, que traduce la SA en suelo duro a la SA en suelo blando. La ecuación (4) implica un valor de AF constante, independientemente de la magnitud, la distancia, el azimut del sismo y la intensidad consideradas.
El sitio de referencia considerado como base para la tasa de excedencia en un sitio rocoso es la estación CU (Ciudad Universitaria), e instalada sobre gruesas capas de coladas de lava basáltica. La consideración de este sitio rocoso como sitio de referencia para investigar la amenaza sísmica en la Ciudad de México no es reciente; ha sido el sitio seleccionado por excelencia para investigar amplificaciones dinámicas en sitios de suelo blando en la Ciudad de México (Singh 1988, Singh et al. 1988, Ordaz et al. 1989, Montalvo-Arrieta et al. 2002, Jaimes et al. 2006). La medida de intensidad, IM, del movimiento del suelo (SA en este documento) y también la tasa de excedencia para SA en CU se obtuvieron mediante el PSHA mencionado anteriormente, cuya base fue establecida originalmente por Esteva-Cornell (McGuire, 2008). En la Figura 6 se utilizan y representan grupos de fuentes sísmicas (interplaca de subducción, intraplaca de profundidad intermedia y corticales, Ordaz y Reyes 1999, Jaimes y Reinoso 2006). Se emplearon diferentes modelos predictivos (modelos de movimiento del suelo, GMM) para la evaluación del peligro sísmico. Para los sismos interplaca de subducción generados a lo largo de la costa del Pacífico, se empleó el GMM definido por Jaimes et al. (2006). Asimismo, para eventos intraplaca de profundidad intermedia, se usó el GMM propuesto por Jaimes et al. (2015) y, para eventos de fallas superficiales de la corteza, el GMM empleado es el propuesto por Jaimes et al. (2016).

Una vez que se evalúa la tasa de excedencia en el sitio de roca de referencia, se determinan los factores de amplificación, AF, en sitios de suelo blando a través de relaciones espectrales de respuesta (Rosenblueth y Arciniega 1992, Reyes 1999). Las excitaciones sísmicas en CU se consideran como un valor de referencia de la señal sísmica de entrada que genera las excitaciones sísmicas en los sitios de suelo blando de la Ciudad de México, como se indica anteriormente. Esto se debe realizar para cada sismo que se haya registrado simultáneamente en cada estación de interés y en la estación CU. Para el alcance de este estudio, las relaciones espectrales de respuesta se calcularon utilizando los sismos que causaron el PGA más grande en la estación CU desde 1964 hasta 2017. El promedio de las relaciones calculadas para la estación acelerométrica de interés (e.g., estaciones CH84 y SCT) en relación con la estación CU produce las relaciones espectrales empíricas mencionadas anteriormente.
El peligro sísmico y la ecuación 4 se implementaron en el software SeismicHazard V2.0 (Candia et al. 2019), lo que conduce a las curvas representadas en la Figura 7 para λ y (i.e., la tasa anual media de excedencia de SA) para el período estructural de interés (i.e., T 1 ~ 1 s).

Criterios para escalar el movimiento del suelo
El escalamiento del movimiento del suelo sigue siendo controvertida y se deben evitar factores de escalamiento grandes; sin embargo, el límite de 3 a 5 para los factores de escalamiento posiblemente se base en el nivel de comodidad del ingeniero en lugar de las limitaciones físicas. Además, si la selección de los movimientos del suelo tiene en cuenta las propiedades relevantes para cada parámetro de demanda de ingeniería, EDP (aparte de los intervalos de magnitud y distancia), Watson-Lamprey y Abrahamson (2006) han demostrado que los factores de escala grandes, incluso tan grandes como 20, se puede utilizar sin introducir sesgo en la mediana de la respuesta estructural.
Otra posibilidad sería utilizar movimientos de suelo sintéticos basados en la física, que tienen su propio conjunto de limitaciones y pueden no estar justificados en muchos proyectos de ingeniería. Una opción para limitar los factores de escalamiento de los eventos registrados es usar movimientos del suelo de otras regiones sísmicas (pero con el mismo mecanismo de falla) que naturalmente brindan medidas de gran intensidad; este enfoque, sin embargo, podría ser problemático, ya que cada entorno sísmico imprime una firma única en los registros de aceleración. En todos los casos, el tomador de decisiones necesita comprender los supuestos o limitaciones de la metodología utilizada para calcular la fragilidad.
Conjunto de movimientos sísmicos considerados
La respuesta inducida por sismos de estructuras CR débiles de primer piso con CID a nivel del suelo durante movimientos de banda angosta del suelo es muy sensible a la SA, la duración y el contenido de frecuencia, así como a otras medidas de intensidad. Dado que existe un número limitado de registros para realizar el análisis de fragilidad sísmica, se genera un conjunto de acelerogramas sintéticos para los sitios en estudio, según la versión actual de las disposiciones sísmicas de diseño en la Ciudad de México (NTCS-2020). Sin embargo, los movimientos de suelo sintéticos conservan las características dinámicas clave de los sitios estudiados, y los factores de escalamiento resultaron menores que cinco, como se indica más adelante. La influencia del contenido de frecuencias del movimiento del suelo en la respuesta de las estructuras en estudio se tiene en cuenta en este estudio mediante el empleo de un conjunto de 36 registros sintéticos del movimiento del suelo en cada sitio de estudio. Cada conjunto se calculó de acuerdo con las Disposiciones de Diseño Sísmico de la Ciudad de México de 2020 (NTCS-2020) representativas de movimientos de alta intensidad asociados con un período de retorno de T R = 250 años. Los movimientos de suelo semilla se obtuvieron de los sismos Mw7.1 del 19 de septiembre de 2017 y M8.2 del 19 de septiembre de 1985 registrados en las estaciones CH84 y SCT, respectivamente. La Figura 8 presenta los espectros de respuesta sísmica de pseudo-aceleración SA (esquina superior izquierda), pseudo-velocidad SV (esquina superior derecha) y desplazamiento SD (esquina inferior izquierda) de movimientos de suelo sintéticos para los sitios CH84 (líneas rosadas) y SCT (líneas azules). Se puede observar que estos movimientos de suelo conservan las principales características de los registros semilla; por ejemplo, el contenido de frecuencias y las intensidades toman en cuenta la variación del período dominante del suelo T s debido al proceso de secado que ocurre en la zona lacustre de la ciudad.

Para este estudio, los movimientos del suelo seleccionados se basan en factores de escala lineal (SF) entre 2.3 y 4.3 para ambos sitios. Esto asegura que se cubre el rango de intensidad requerido para determinar adecuadamente las funciones de fragilidad. Estos factores de escala permiten alcanzar tasas de excedencia de SA de λ y = 10 - 3 eventos por año para cada grupo de movimientos del suelo; los factores de escala más grandes podrían afectar la estimación del desplazamiento medio. Se debe señalar que las construcciones en la Ciudad de México están diseñadas para alcanzar intensidades sísmicas de λ y = 4 ∙ 10 - 3 excedencia anual de SA (es decir, período de retorno T R = 250 años) de acuerdo con las Normas Técnicas de Diseño Sísmico. Por lo tanto, los factores de escala utilizados se consideran adecuados.
RESPUESTA INDUCIDA POR SISMO EN EDIFICIOS CON AMORTIGUADORES DE INERCIA ROTACIONAL CON EMBRAGUE
Para evaluar la influencia de los movimientos del suelo (ej., niveles de intensidad y contenido de frecuencia) en la respuesta sísmica de estructuras de CR de primer piso débil con CID a nivel del suelo debido a sismos de banda angosta en la Ciudad de México, se inspeccionaron las demandas de respuesta inducidas por sismos. En primer lugar, se somete un sistema de un grado de libertad (1GDL) con amortiguadores de inercia rotacional con embrague a movimientos sísmicos de banda angosta y se compara su respuesta con la de un sistema análogo sin amortiguadores de inercia. En segundo lugar, se examinaron las demandas de respuesta inducidas por sismos para estructuras de concreto reforzado con planta baja débil para dos estados límite: (1) intensidades sísmicas asociadas con el estado límite de colapso incipiente y (2) intensidades sísmicas asociadas con el estado límite de limitación del daño. El primer estado límite (i.e., colapso incipiente) está asociado con eventos extremos poco frecuentes capaces de generar altas demandas sísmicas, por lo que se debe prevenir el colapso para evitar fallas estructurales importantes y muertes, aunque pueden ocurrir daños significativos y deformaciones residuales que pueden conducir a la interrupción de la operación e importantes tareas de reacondicionamiento. El estado límite asociado con la limitación de daños está asociado con demandas sísmicas moderadas que pueden ocurrir varias veces durante la vida útil de la estructura, por lo que solo deben ocurrir en caso extraordinario, daños menores que permitan la operación y ocupación de la estructura de manera inmediata.
A pesar de que las estructuras estudiadas fueron diseñadas de acuerdo con la versión 1976 de las Normas Técnicas de Diseño Sísmico de la Ciudad de México (García-Ranz y Gómez, 1988), los estados límites aceptados actualmente están prescritos en la edición 2020 de las Normas Técnicas de Diseño Sísmico (NTCS-2020) para la Ciudad de México, que consideran las intensidades espectrales del estado límite de colapso asociadas con un periodo de retorno de ~250 años y las intensidades del estado límite de limitación de daños asociadas con un periodo de retorno de ~20 años.
La selección de estructuras estudiadas (i.e., estructuras con versión 1976) obedece a que actualmente en la Ciudad de México existe un número importante de estructuras construidas en la década de 1980; sin embargo, debido a las escasas fuentes económicas disponibles, no es factible demoler y reconstruir dichas estructuras. En su lugar, se deben proponer estrategias de modernización con el fin de mitigar los daños potenciales ante la ocurrencia de futuros eventos sísmicos.
Respuesta sísmica de sistemas de 1GDL para movimiento sintético del terreno
La Figura 9 presenta el desplazamiento inelástico sísmico máximo de un sistema de 1GDL bilineal ( α = 0.05 ) con amortiguadores de inercia rotacional con embrague, como se describe en las Ecuaciones 1 a 3 con σ = 1 (líneas continuas azules), que se compara con la respuesta del mismo sistema de 1GDL bilineal simple, pero con σ = 0 (líneas sólidas grises). Mayores detalles del sistema de 1GDL con amortiguador inercial rotacional con embrague se presentan al inicio de este estudio. Los sistemas están sujetos a los movimientos sintéticos del terreno obtenidos anteriormente (estación CH84, Figura 8a; estación SCT, Figura 8b). Estudios previos (ej., Kunnath et al. 1997; Goda et al. 2009) sobre la fluencia de estructuras de concreto para identificar los valores de los parámetros del modelo de Bouc-Wen se emplearon como base para adoptar los valores de 0.05, 0.95 y 2 para ζ, β y n, respectivamente. Es importante señalar que el modelo de Bouc-Wen en este estudio se emplea exclusivamente para capturar el comportamiento histerético de las columnas de concreto en el sistema estructural. El CID, al ser un dispositivo mecánico, no exhibe comportamiento histerético y, por lo tanto, no requiere parámetros del modelo de Bouc-Wen para su representación. El enfoque del estudio está en evaluar la interacción entre las columnas histeréticas y el CID en sistemas de planta baja débil. Además, se estipula una rigidez previa a la fluencia igual a k 1 = ω 1 2 m 1 , así como una rigidez posterior a la fluencia k 1 p o s t = a 1 k 1 y Q 1 como resistencia. En consecuencia, suponiendo α = 0.05, el desplazamiento de fluencia u y 1 se puede determinar como u y 1 = Q 1 / k 1 1 - α = Q 1 / m 1 ∙ T 1 2 / 4 π 2 1 - α (Moghimi y Makris 2021). Otro parámetro requerido para definir las propiedades estructurales del sistema de 1GDL es la resistencia normalizada Q 1 / m 1 = 0.1 g .

La Figura 9 muestra la eficiencia del sistema de 1GDL con amortiguadores de inercia rotacional con embrague en un marco rígido para reducir los desplazamientos inelásticos máximos. Por lo tanto, el uso de sistemas de amortiguadores de inercia rotacional con embrague parece ser una medida muy efectiva para reducir las respuestas inelásticas máximas cuando están sujetos a movimientos de suelo de banda angosta.
Influencia de las intensidades sísmicas asociadas con el estado límite de colapso
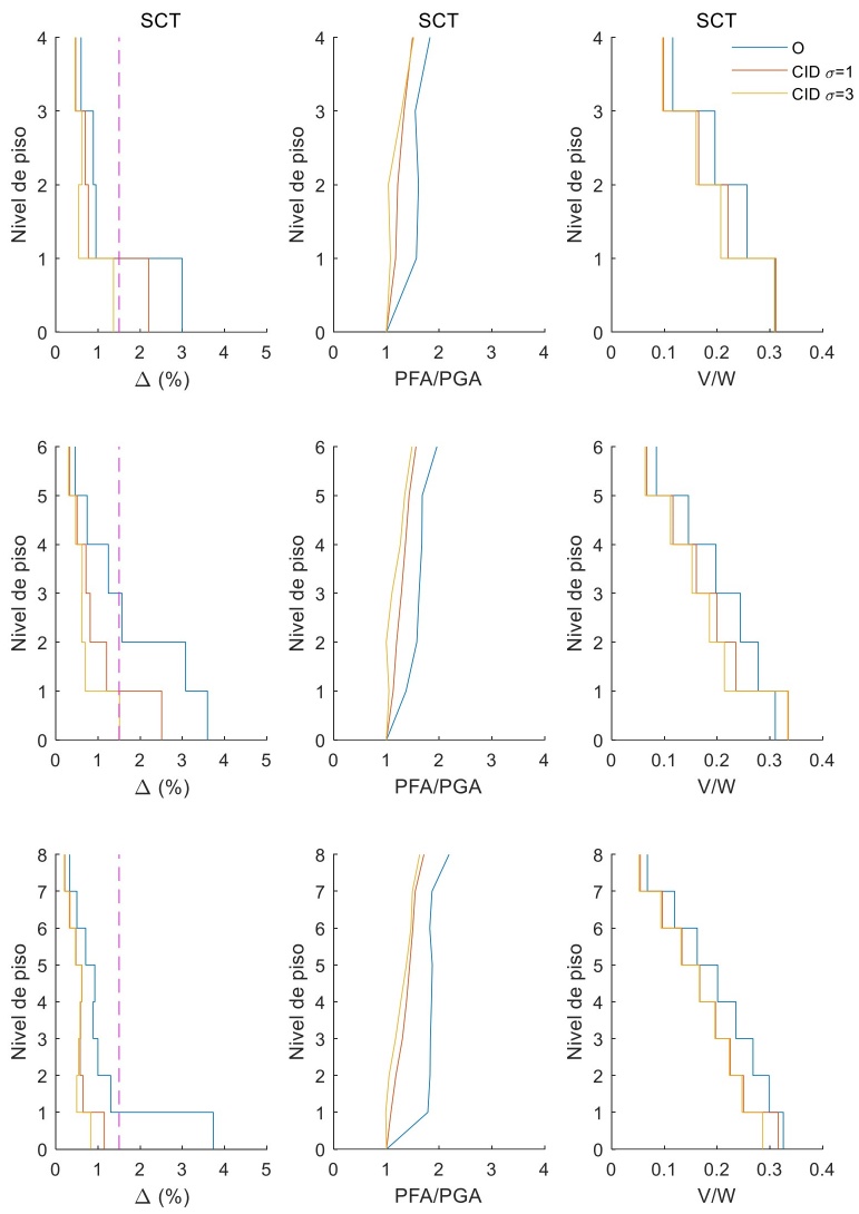
La Figura 10 muestra una comparación de la distribución en altura de la mediana de distorsión de entrepiso pico (izquierda), la aceleración máxima de piso normalizada con respecto a la aceleración máxima de suelo (centro) y las demandas máximas de cortante normalizadas con el peso del edificio (derecha) para el edificio de 4 pisos (arriba), edificio de 6 pisos (mitad) y edificio de 8 pisos (abajo) con Q = 4 bajo intensidades sísmicas asociadas con el estado límite de colapso en el sitio CH84 (T s = 1.4 s), i.e., las distorsiones de entrepiso (desplazamiento relativo entre dos pisos consecutivos) debe ser menor que la distorsión límite del 1.5% (NTCS-2020) para cumplir con las Normas Técnicas de Diseño Sísmico. En la Figura 10, las líneas azules muestran las respuestas de los edificios originales sin amortiguadores inerciales (es decir, O), y las líneas naranja y amarilla muestran las respuestas de los edificios reacondicionados con amortiguadores inerciales con embrague (i.e., CID) para σ igual a 1 y 3, respectivamente. Bajo estas intensidades asociadas con el estado límite de colapso, se considera que los edificios tienen un comportamiento no lineal. En la Figura 10 (izquierda), se puede ver claramente que las demandas de distorsión máximas se concentran en el primer piso, lo cual es típico de un mecanismo de primer piso débil. Nótese que las mayores distorsiones se concentran en el primer piso para el caso sin amortiguadores inerciales que ocurre en el edificio de 4 pisos (el edificio más bajo en altura); este comportamiento, también informado por Ruiz-García y Cárdenas (2021), se atribuyó parcialmente a la contribución de los modos superiores, que pueden retrasar la formación del mecanismo débil del primer piso en el edificio más alto Ruiz-García y Cárdenas (2021). Sin embargo, cabe señalar que la adición de un amortiguador no elimina el piso débil, más bien controla el problema inducido por el mecanismo de piso blando desde un punto de vista dinámico siempre que se seleccione una relación de masa aparente adecuada. Sin embargo, proporcionar un dispositivo de identificación con una mayor relación de masa aparente σ (e.g., valores superiores a 3 para los casos en estudio) podría provocar daños en los pisos superiores, como se indica a continuación, especialmente para edificaciones de mediana altura. Por lo tanto, se debe tener cuidado para seleccionar adecuadamente los CID para controlar los desplazamientos laterales.

La Figura 10 muestra una disminución evidente en la mediana de distorsión de entrepiso pico, así como en la aceleración máxima normalizada del piso, cuando los edificios cuentan con amortiguadores de inercia rotacional a nivel del suelo (líneas continuas amarillas y naranjas) en comparación con el caso original (líneas continuas azules). Asimismo, se puede apreciar la mediana de los cortantes pico normalizados, similares o reducidos (dependiendo del valor de σ), para edificios con amortiguadores con masa inercial con embrague respecto a los edificios originales. Por lo tanto, la introducción de amortiguadores con masa inercial con embrague puede ser una medida eficaz para reducir las respuestas máximas concentradas en el primer piso cuando los edificios están sujetos a movimientos de suelo de banda angosta. Sin embargo, los amortiguadores de masa inercial colocados a nivel del suelo podrían causar que las distorsiones de entrepiso migren a los pisos superiores debido al efecto de “backstay” introducido por el amortiguador inercial (Thiers-Moggia y Málaga-Chuquitaype, 2020, 2021). Esta situación se debe a los altos valores de σ de los amortiguadores con masa inercial (e.g., σ = 3 ); esto se puede observar especialmente en el edificio de 8 pisos. Como se mencionó anteriormente, la ubicación de los CID como una estrategia de control de desplazamiento sísmico debe revisarse cuidadosamente caso por caso, para que se seleccionen los parámetros adecuados para evitar resultados contraproducentes. Ruiz-García y Cárdenas (2021) también informan sobre esta migración de distorsiones de entrepiso más grandes a los niveles superiores cuando los edificios se diseñan de acuerdo con las normas para el primer piso débil en las disposiciones sísmicas actualizadas (en lugar de reacondicionarlos con amortiguadores con masa inercial como en este estudio).
Por otro lado, la Figura 11 presenta una comparación similar a la Figura 10 pero para el sitio SCT ( T s = 1.4 s ). Es posible observar que las edificaciones originales continúan excediendo el valor límite de distorsión que el observado en el sitio CH84 (i.e., 1,5%) indicado en la normativa vigente. Sin embargo, presentan un mejor comportamiento (ej., una disminución evidente en la mediana de la distorsión máxima del piso, la aceleración máxima normalizada del piso y el corte máximo normalizado) cuando los edificios cuentan con amortiguadores con masa inercial con embrague a nivel del suelo. Por tanto, en este caso, la introducción de sistemas de amortiguamiento con masa inercial con sistema de embrague también es una medida muy eficaz para reducir las respuestas máximas a lo largo de la altura de los edificios que cuentan con planta baja débil cuando estos están sometidos a movimientos del terreno de banda angosta, asociados con el estado límite de colapso y están diseñados con Q = 4 .

Influencia de las intensidades sísmicas asociadas con el estado límite de limitación de daños
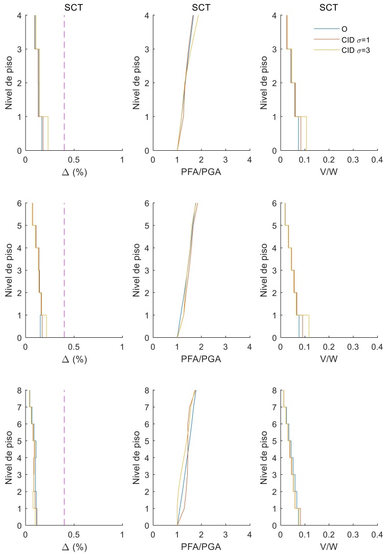
De manera similar a como se muestra en las Figuras 10 y 11, las Figuras 12 y 13 muestran una comparación de la distribución en altura de la mediana de distorsión de entrepiso pico (izquierda), la aceleración máxima de piso normalizada con respecto a la aceleración máxima de suelo (centro) y las demandas de cortante máxima normalizadas con el peso del edificio (derecha) para el edificio de 4 pisos (arriba), el edificio de 6 pisos (centro) y el edificio de 8 pisos (abajo) con Q = 4 pero bajo intensidades sísmicas asociadas con el estado límite de limitación de daños en CH84 ( T s = 1.4 s , Figura 12) y SCT ( T s = 1.9 s , Figura 13), es decir, las distorsiones deben ser menores que los valores límite de 0.4% de distorsión cuando los elementos que no forman parte del sistema estructural no están unidos al sistema principal (NTCS-2020). Bajo estas intensidades asociadas con el estado límite de limitación de daño, se considera que los edificios tienen un comportamiento lineal. Para los edificios ubicados en CH84 (Figura 12), es posible ver una disminución en la distorsión máxima de entrepiso promedio, así como en las demandas máximas normalizadas de aceleración del piso y cortante máximo cuando los edificios están provistos con amortiguadores de inercia rotacional con embrague a nivel del suelo (líneas continuas amarillas y naranjas) frente a la estructura original (líneas continuas azules).


Por otro lado, para los edificios ubicados en la SCT (Figura 13), se observa un ligero incremento en la mediana de las demandas máximas de distorsión de entrepiso y de cortante máximo cuando los edificios cuentan con amortiguadores de inercia rotacional a nivel del suelo (líneas sólidas amarillas y naranjas) versus el caso original (líneas azules sólidas); sin embargo, éstas no sobrepasan los valores límite de 0.4% de distorsión.
Para el sitio SCT, las intensidades asociadas con el estado límite de limitación del daño, los CID no ofrecen ningún beneficio tangible en comparación con el caso original; incluso podría ser ligeramente contraproducente. Una posible explicación es que, dado que para este estado límite (limitación de daños) las estructuras en el sitio SCT están sometidas a bajas intensidades y se comportan de forma lineal, lo que puede causar un retraso en la desaceleración del CID que conduce a un movimiento inercial más rápido que el de la estructura. Posteriormente, el CID empuja a la estructura para que ésta se mueva, mientras que a su vez el CID y su soporte deben resistir una carga mayor, generando mayores distorsiones y demandas de cortante en el primer piso. Es posible que esto no ocurra cuando la estructura exhibe un comportamiento no lineal, como se observa en el edificio de 8 pisos (Figura 11). Por lo tanto, bajo intensidades sísmicas altas (comportamiento no lineal), el uso de CID podría ser beneficioso, pero esto puede revertirse bajo intensidades sísmicas bajas (comportamiento lineal). En cualquier caso, dado que el contenido de frecuencia y otros aspectos juegan un papel importante, el diseño debe revisarse cuidadosamente para cada caso, como se indicó anteriormente, para cumplir con todos los estados límite de diseño de la construcción.
FUNCIONES DE FRAGILIDAD
Para un parámetro de demanda de ingeniería (EDP) dado, su función de fragilidad se define como la probabilidad de que EDP exceda el umbral de demanda z condicionado a una intensidad de movimiento del suelo IM, es decir, P E D P > z I M . Para el alcance del presente trabajo, el EDP se considera como la distorsión de entrepiso máxima denotada como D.
Para obtener las funciones de fragilidad, se llevaron a cabo Análisis Dinámicos Incrementales (IDA, por sus siglas en inglés) (Vamvatsikos 2002). Para este propósito, los movimientos del suelo se escalaron incrementalmente a valores constantes de las aceleraciones S A ( T 1 ) , que van desde 0.01 a 1.4 g y 0.01 a 0.7 g para los sitios CH84 y SCT, respectivamente. T 1 es el período fundamental de las estructuras en estudio. Posteriormente se obtuvieron, las probabilidades de que un E D P exceda un valor de prueba z dividiendo el número de simulaciones para las cuales E D P > z entre el número total de simulaciones.
Probabilidad de falla asociadas con distorsiones máximas de entrepisos
La probabilidad de falla para las demandas de distorsión máximas de entrepiso se evaluó para valores que oscilan entre 0.001 y 0.04, lo que representa desde demandas de distorsión muy pequeñas o insignificantes hasta demandas muy grandes que podrían desencadenar efectos secundarios como golpes contra estructuras adyacentes o inestabilidad lateral debido a efectos p- δ, entre otros.
Sea d una demanda estructural de interés. Para distinguir entre valores de d iguales a cero y distintos de cero (demanda máxima de distorsión), la probabilidad condicional de la demanda, dada una intensidad de movimiento del suelo y, se representa como (Bray y Travasarou, 2007):
donde δ ∙ es la función delta de Dirac; d 0 = 0.003 denota el nivel considerado nulo (o prácticamente nulo) para una estructura; todas las demandas que cumplen D ≤ d 0 se concentran en D = d 0 correspondiente a una probabilidad de masa denotada como p ~ ; y f ~ D ( d ) denota la función de densidad de probabilidad para desplazamientos distintos de cero. La ecuación 5 puede usarse para derivar P D > d | y (i.e., la probabilidad de excedencia para un umbral d dado un valor de medida de intensidad).
Resultados de probabilidad de falla para distorsiones máximas de entrepiso
Mediante la realización de IDAs, se calculan las funciones de fragilidad con base en las distorsiones máximas de entrepiso para cada una de las configuraciones de estructura descritas en la Sección 2.
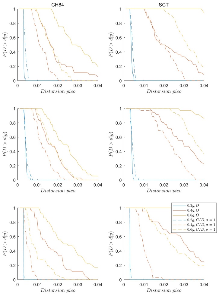
En la Figura 14 se presenta un ejemplo ilustrativo de las funciones de fragilidad asociadas con la falla para tres intensidades de movimiento del suelo, y = 0.2 , 0.4 y 0.6 g , para el edificio de 4 pisos (arriba), edificio de 6 pisos (centro) y edificio de 8 pisos (abajo) con Q = 4. Las funciones de fragilidad se presentan en la Figura 14 para sitios en CH84 (izquierda) así como para SCT (derecha). Este ejemplo ilustra que el contenido de frecuencia del movimiento del suelo tiene un efecto en la fragilidad estructural (derecha) para las estructuras que consideran amortiguadores de masa inercial con embrague. Por ejemplo, es evidente que la probabilidad de que D supere un valor d en función de la intensidad y = S A T = 1 s es mayor para el sitio CH84 (figura 14 a la izquierda) que para el sitio SCT (Figura 14 a la derecha). Finalmente, se observa que, cuando las estructuras incluyen CID en su planta baja, las probabilidades de exceder cierta distorsión de piso máxima son menores que para una estructura sin CID para grandes intensidades de movimiento del suelo (e.g., y = 0.6 g) en ambos sitios. Sin embargo, para intensidades moderadas de movimiento del suelo (e.g., y = 0.2 g), esta tendencia se puede revertir principalmente para el sitio SCT, donde los amortiguadores de inercia rotacional no ofrecen ningún beneficio en comparación con el caso original.

EVALUACIÓN DE LA TASA DE DAÑO INDUCIDA POR SISMOS
La evaluación de la tasa de daño se realiza siguiendo los estudios de Esteva (1968, 1979), Cornell (1968) y Der Kiureghian (2005). Sea λ y y la curva de peligro sísmico para un sitio dado y P D > d y ) la función de fragilidad para d. La convolución de este último y el primero produce la tasa de excedencia de distorsiones λ D d (d) de los edificios, expresada como
Las funciones que definen la tasa de excedencia en términos de daño λ D d se calcularon resolviendo numéricamente la integral en la Ecuación (6). Los hallazgos más destacados se resumen a continuación.
Curvas de tasa de daño de distorsión máxima de entrepiso
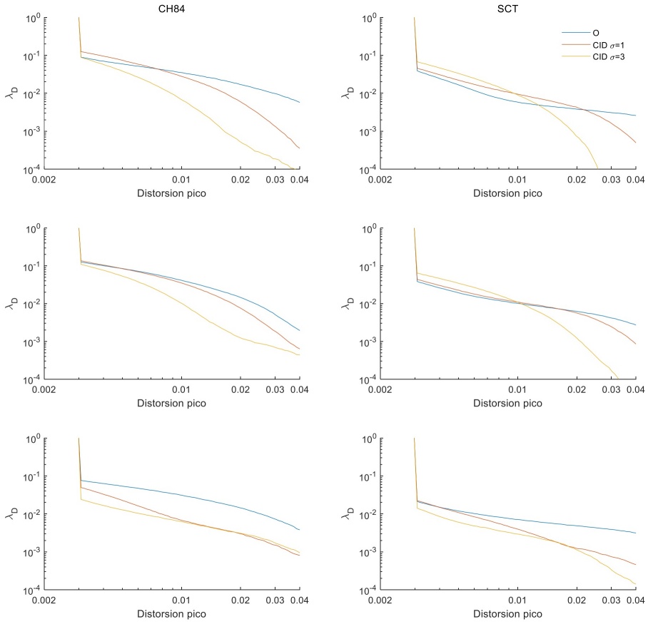
La Figura 15 muestra una comparación directa de las funciones de tasa de daño para la distorsión de piso máxima λ D d para el edificio de 4 pisos (arriba), el edificio de 6 pisos (mitad) y el edificio de 8 pisos (abajo) con Q = 4 en los sitios CH84 (izquierda) y SCT (derecha). A partir de los resultados de la Figura 15, la tasa de daño de las estructuras en los sitios CH84 ( T s ~ 1.4 s ) y SCT ( T s ~ 1.9 s ) con amortiguadores de inercia rotacional a nivel del suelo en términos de máxima distorsión de piso se muestra que son generalmente menores que las de estructuras sin amortiguadores de inercia rotacional en el rango de 5 ∙ 10 - 2 a ~ 10 - 4 y 1.4 ∙ 10 - 3 a ~ 10 - 4 anual excedencia para los sitios CH84 y SCT, respectivamente, i.e., intensidades sísmicas donde se considera que los edificios tienen un comportamiento no lineal. Para rangos mayores a 5 ∙ 10 - 2 y 1.4 ∙ 10 - 3 de excedencia anual, la tasa de daño comienza a aumentar o la confiabilidad comienza a disminuir, i.e., para intensidades sísmicas donde los edificios están se considera que tiene un comportamiento lineal. Por lo tanto, los CID suprimen eficazmente los desplazamientos inelásticos de los edificios (ej., edificios bajo intensidades sísmicas asociadas con el estado límite de colapso), especialmente de edificios de baja altura. Por el contrario, los CID pueden inducir ligeramente mayores desplazamientos elásticos para edificios bajo intensidades asociadas con el estado límite de limitación del daño, especialmente en sitio de SCT; sin embargo, tales desplazamientos elásticos se acomodan dentro de los estados límites indicados en la normatividad vigente.

CONCLUSIONES
Este estudio evalúa la fragilidad de estructuras de concreto reforzado (CR) de primer piso débil con amortiguadores de inercia rotacional con embrague a nivel del suelo en términos de su distorsión máxima de entrepiso debida a excitaciones sísmicas de banda angosta. Se utilizó un conjunto de edificaciones de baja a mediana altura diseñadas de acuerdo con la antigua edición de 1976 de las Normas Técnicas de Diseño Sísmico (NTC-1976) de la Ciudad de México para inspeccionar la factibilidad de rehabilitar estructuras antiguas existentes con amortiguadores de inercia rotacional con sistema de embrague (Clutching Inerter Dampers, CID). Las funciones de fragilidad se determinaron mediante análisis dinámicos incrementales (IDA) y un conjunto de datos de movimientos de suelo de banda angosta en la Ciudad de México de acuerdo con las normas sísmicas vigentes. Además, se calculó y comparó la función de tasa de daño para estructuras originales y estructuras equipadas con los CID.
La respuesta sísmica de las estructuras de CR de primer piso débil se calcula considerando las excitaciones sísmicas de banda angosta registradas durante los grandes sismos de México de 1985 y 2017. Estos eventos sísmicos causaron daños significativos a las estructuras en la Ciudad de México, principalmente en la zona del lecho del lago.
De los casos analizados, se pueden destacar los siguientes hallazgos:
Los resultados de las funciones de fragilidad indican que en estructuras donde se incluyen amortiguadores de inercia rotacional a nivel del suelo, las probabilidades de superar cierta distorsión de piso máxima son menores que en estructuras sin amortiguadores de inercia rotacional para grandes intensidades de movimiento del suelo en ambos sitios.
Los resultados muestran que, para la máxima distorsión de piso pico, el riesgo de las estructuras con amortiguadores de inercia rotacional a nivel del suelo es en general menor o la confiabilidad es mayor para edificios bajo intensidades sísmicas asociadas con el estado límite de colapso (i.e., cuando la construcción se encuentra sujeta a demandas sísmicas grandes), especialmente para edificios de baja altura. Se observaron mejoras del orden de la mitad de la respuesta original. Sin embargo, para edificios bajo intensidades asociadas con el estado límite de limitación de daños (i.e., cuando la construcción se encuentra sujeta a demandas sísmicas relativamente comunes durante la vida útil del edificio), la confiabilidad de las estructuras con amortiguadores de inercia rotacional con embrague podría ser similar a la de las estructuras sin este sistema de amortiguadores.
Por lo tanto, se concluye que los amortiguadores de inercia rotacional con embrague son una alternativa de rehabilitación efectiva para mejorar el comportamiento sísmico de edificaciones de primer piso débiles que presentan un comportamiento inelástico (intensidades sísmicas muy grandes asociadas con el estado límite de colapso incipiente). Esto se aplica a los casos estudiados en la presente investigación. Se recomienda una mayor investigación para otras estructuras y movimientos del suelo.
Cabe señalar que proporcionar amortiguadores de inercia rotacional con embrague al edificio no elimina la debilidad del primer piso, pero controla el problema inducido por el débil mecanismo del primer piso desde un punto de vista dinámico, siempre que se seleccionen los parámetros adecuados de los amortiguadores de inercia rotacional. Si se selecciona un dispositivo de identificación con una relación de masa aparente mayor (e.g., >3 para los casos estudiados), se podrían esperar daños en los pisos superiores. Por lo tanto, se debe tener cuidado para seleccionar adecuadamente los CID para controlar los desplazamientos laterales.
Finalmente, se considera que futuras investigaciones deben ir encaminadas a explorar mejor los sistemas de control de protección sísmica, e.g., se debe realizar un análisis costo-beneficio.
AGRADECIMIENTOS
Esta investigación fue financieramente soportada por los Proyectos IN102021-PAPIIT-UNAM y PAPIIT-UNAM IG100623. Apoyo adicional fue auspiciado por el Instituto de Ingeniería de la UNAM a través del Fondo de Investigación R528.
REFERENCIAS
AIJ (1997). Report on the Hanshin-Awaji Earthquake Disaster-Building Series. In Volume 1: Structural Damage to Reinforced Concrete Building, Architectural Institute of Japan (AIJ): Tokyo, Japan1997 (en Japonés).
AIJ (2011). Preliminary Reconnaissance Report of the 2011 Tohoku-Chiho Taiheiyo-Oki Earthquake, Architectural Institute of Japan (AIJ): Tokyo, Japan, pp. 105-111 (en Japonés). DOI: 10.1007/978-4-431-54097-7.
Alam, Z., Zhang, C., Samali, B (2020). The role of viscoelastic damping on retrofitting seismic performance of asymmetric rein-forced concrete structures. Earthq. Eng. Eng. Vib., Vol. 19, pp. 223-237. DOI: 10.1007/s11803-020-0558-x
Alavi, B., Krawinkler, H. (2004a) Behavior of moment-resisting frame structures subjected to near-fault ground motions. Earthq. Eng. Struct. Dyn. Vol. 33, No. 6, pp. 687-706. DOI: 10.1002/eqe.369
Alavi, B., Krawinkler, H. (2004b) Strengthening of moment-resisting frame structures against near-fault ground motion effects. Earthq. Eng. Struct. Dyn. Vol. 33, No. 6, pp. 707-722. DOI: 10.1002/eqe.370
Arakaki, T., Kuroda, H., Arima, F., Inoue, Y., Baba, K. (1999a). Development of seismic devices applied to ball screw: Part 1 Basic performance test of RD-series. AIJ J. Technol. Des., Vol. 5, pp. 239-244. DOI: 10.3130/aijt.5.239_1
Arakaki, T., Kuroda, H., Arima, F., Inoue, Y., Baba, K. (1999b). Development of seismic devices applied to ball screw: Part 2 Performance test and evaluation of RD-series. AIJ J. Technol. Des., Vol. 5, pp. 265-270.
Bray, J. D., y Travasarou, T. (2007). Simplified procedure for estimating earthquake-induced deviatoric slope displacements. Journal of Geotechnical and Geoenvironmental Engineering, Vol. 133, No. 4, pp. 381-392
Bouc, R. (1971). Modele mathematique d’hysteresis. Acustica, Vol. 21, pp. 16-25.
Candia, G., Macedo Jaimes, M.A., Magda-Verdugo, C. (2019). A new state of the art platform for probabilistic and deterministic seismic hazard assessment. Seismol. Res. Lett., Vol. 90, No. 6, pp. 2262-2275. DOI: 10.1785/0220190025
Cardenas, Y. (2020). Comportamiento Sísmico de Edificios de Concreto Reforzado con Planta Baja Débil Sujetos al Sismo del 19 de septiembre de 2017. Tesis Licenciatura, Facultad de Ingeniería, Universidad Michoacana de San Nicolás de Hidalgo, Morelia, México.
Cornell, C.A. (1968). Engineering seismic risk analysis. Bull. Seismol. Soc. Am., Vol. 58, No. 5, pp. 1583-1606. DOI: 10.1785/BSSA0580051583
Der Kiureghian (2005). Non-Ergodicity and PEER’s framework formula. Earthq. Eng. Struct. Dyn., Vol. 34, No. 13, pp. 1643-1652. DOI: 10.1002/eqe.504
Gregorio, L. (2020). Evaluación de las Nuevas Disposiciones Normativas para el Diseño Sísmico de Edificios de Concreto Reforza-do con Planta Baja Débil. Tesis Licenciatura, School of Engineering, Universidad Michoacana de San Nicolás de Hidalgo, Morelia, México. http://bibliotecavirtual.dgb.umich.mx:8083/xmlui/handle/DGB_UMICH/7772
Goda, K., Hong, H.P., Lee, C.S. (2009). Probabilistic characteristics of seismic ductility demand of SDOF systems with Bouc-Wen hysteretic behavior. J. Earthq. Eng., Vol. 13, No. 5, pp. 600-622. DOI: 10.1080/13632460802645098
Esteva, L. (1968). Bases para la Formulación de Decisiones de Diseño Sísmico, Serie Azul 182, Instituto de Ingeniería, Universidad Nacional Autónoma de México: Ciudad de México, México. https://hdl.handle.net/20.500.14330/TES01000294559
Esteva, L. (1970). Regionalización Sísmica para Fines de Ingeniería, Serie Azul 246, Instituto de Ingeniería UNAM: Ciudad de México, México. https://aplicaciones.iingen.unam.mx/ConsultasSPII/DetallePublicacion.aspx?id=152
Galvis, F.A., Miranda, E., Heresi, P., Dávalos, H., Ruiz-García, J. (2020). Overview of collapsed buildings in Mexico City after the 19 September 2017 (Mw7. 1) earthquake. Earthq. Spectra, Vol. 36, No.2, 8755293020936694. DOI: 10.1177/8755293020936694
García-Ranz, F., Gómez, R. (1988). The Mexico Earthquake of 19 September 1985 -Seismic Design Regulations of the 1976 Mexico Building Code. Earthq. Spectra, Vol. 4, pp. 427-439.
Hall, J.F., Heaton, T.H., Halling, M.W., Wald, D.J. (1995) Near-source ground motion and its effects on flexible buildings. Earthq. Spectra 1995, Vol. 11, pp. 569-605. DOI: 10.1193/1.1585828
Hwang, J.S., Kim, J., Kim, Y.M. (2007). Rotational inertia dampers with toggle bracing for vibration control of a building structure. Eng. Struct., 29, 1201-1208. DOI: 10.1016/j.engstruct.2006.08.005
Jaimes, M.A., Reinoso, E., Ordaz, M. (2006). Comparison of methods to predict response spectra at instrumented sites given the magnitude and distance of an earthquake. J. Earthq. Eng., Vol. 10, No. 6, pp. 887-902. DOI: 10.1080/13632460609350622
Jaimes, M.A., Reinoso, E. (2006). Comparación del comportamiento de edificios en el valle de México ante sismos de subducción y de falla normal. Rev. Ing. Sísmica, No. 75, pp. 1-22.
Jaimes, M.A., Ramirez-Gaytán, A., Reinoso, E. (2015). Ground-motion prediction model from intermediate-depth intraslab earthquakes at the hill and lake-bed zones of Mexico City. J. Earthq. Eng., Vol. 19, pp. 1260-1278. DOI: 10.1080/13632469.2015.1025926
Jaimes, M.A., Lermo, J., García-Soto, A.D. (2016). Ground-motion prediction model from local earthquakes of the Mexico Basin at the hill zone of Mexico City. Bull. Seismol. Soc. Am., Vol. 106, No. 6, pp. 2532-2544. DOI: 10.1785/0120150283
Jaimes, M.A., Niño, M., Franco, I., Trejo, S., Godínez, F., García-Soto, A.D. (2023). Seismic Risk of Weak First-Story RC Structures with Inerter Dampers Subjected to Narrow-Band Seismic Excitations. Buildings, Vol. 13 No. 4, 929. DOI: 10.3390/buildings13040929
Kent, D.C., Park, R. (1971). Flexural members with confined concrete. J. Struct. Div., Vol. 97, pp.1969-1990. DOI: 10.1061/JSDEAG.0002957
Kunnath, S.K., Mander, J.B., Fang, L. (1997). Parameter identification for degrading and pinched hysteretic structural concrete sys-tems. Eng. Struct., Vol. 19, No. 3, pp. 224-232. DOI: 10.1016/S0141-0296(96)00058-2
Lago, A., Trabucco, D., Wood, A. (2018). Damping Technologies for Tall Buildings: Theory, Design Guidance and Case Studies, Butter-worth-Heinemann: Oxford, UK. DOI: 10.1016/C2017-0-01327-7
Lazar, I.F., Neild, S.A., Wagg, D.J. (2014). Using an inerter-based device for structural vibration suppression. Earthq. Eng. Struct. Dyn. Vol. 43, pp. 1129-1147. DOI: 10.1002/eqe.2390
Makris, N., Kampas, G. (2016). Seismic protection of structures with supplemental rotational inertia. J. Eng. Mech. Vol. 142, 04016089. DOI: 10.1061/(ASCE)EM.1943-7889.0001152
Makris, N., Moghimi, G. (2019). Displacements and forces in structures with inerters when subjected to earthquakes. J. Struct. Eng, Vol. 145, No. 2, 04018260. DOI: 10.1061/(ASCE)ST.1943-541X.0002267
Málaga-Chuquitaype, C., Menendez-Vicente, C., Thiers-Moggia, R. (2019). Experimental and numerical assessment of the seismic response of steel structures with embragueed inerters. Soil Dyn. Earthq. Eng., Vol. 121, pp. 200-211. DOI: 10.1016/j.soildyn.2019.03.016
Mazzoni, S., McKenna, F., Scott, M.H., Fenves, G.L. (2006). OpenSees command language manual. Pac. Earthq. Eng. Res. Cent., Vol. 264, pp. 137-158.
McGuire, R.K. (2008). Probabilistic seismic hazard analysis: Early history. Earthq. Eng. Struct. Dyn., Vol. 37, pp. 329-338. DOI: 10.1002/eqe.765
McKenna, F. (2011). OpenSees: A framework for earthquake engineering simulation. Comput. Sci. Eng., Vol. 13, pp. 58-66. DOI: 10.1109/MCSE.2011.66
Moghimi, G., Makris, N. (2021). Seismic response of yielding structures equipped with inerters. Soil Dyn. Earthq. Eng. Vol. 141, 106474. DOI: 10.1016/j.soildyn.2020.106474
Montalvo-Arrieta, J.C., Sánchez-Sesma, F.J., Reinoso, E. (2002). A virtual reference site for the Valley of Mexico. Bull. Seismol. Soc. Am., Vol. 92, No. 5, pp. 1847-1854. DOI: 10.1785/0120010257
NTCS (2020). Technical Norms for Seismic Design. Gaceta Oficial de la Ciudad de México. 15 de diciembre 2017. Disponible en línea: Disponible en línea: https://www.smig.org.mx/archivos/NTC2017/normas-tecnicas-complementarias-reglamento-construcciones-cdmx-2017.pdf (acceso en 10 octubre 2020).
Ordaz, M., Reinoso, E., Singh, S.K., Vera, E., Jara, J.M. (1989). Espectros de Respuesta en Diversos Sitios del Valle ante Temblores Postulados en la Brecha de Guerrero. In Memorias del VIII Congreso Nacional de Ingeniería Sísmica and VII Congreso Nacional de Ingeniería Estructural, Acapulco, México, pp. A187-A198.
Ordaz, M., Reyes, C. (1999). Earthquake hazard in Mexico City: Observations versus computations. Bull. Seismol. Soc. Am., Vol. 89, pp. 1379-1383. DOI: 10.1785/BSSA0890051379
Reinoso, E., Ordaz, M. (1999). Spectral ratios for Mexico City from free-field recordings. Earthq. Spectra, Vol. 15, No. 2, pp. 273-295. DOI: 10.1193/1.1586041
Reyes, C. (1999). El Estado Límite de Servicio en el Diseño Sísmico de Edificios. Ph.D. Thesis, UNAM, Ciudad de Mexico, México. https://hdl.handle.net/20.500.14330/TES01000270872
Singh, S.K., Iglesias, A., Ordaz, M., Pérez-Campos, X., Quintanar, L. (2011). Estimation of ground motion in Mexico City from a repeat of the M∼7.0 Acambay earthquake of 1912. Bull. Seismol. Soc. Am., Vol. 101, pp. 2015-2028. DOI: 10.1785/0120100317
Singh, S.K. (1988). A study of amplification of seismic waves in the Valley of Mexico with respect to the hill zone site. Earthq. Spectra, Vol. 4, No. 4, pp. 653-674. DOI: 10.1193/1.1585496
Singh, S.K., Mena, E.A., Castro, R. (1988). Some aspects of source characteristics of the 19 September 1985 Michoacan earthquake and ground motion amplification in and near Mexico City from strong motion data. Bull. Seismol. Soc. Am. 1988, Vol 78, No. 2, pp. 451-477. DOI: 10.1785/BSSA0780020451
Smith, M.C. (2002). Synthesis of mechanical networks: The inerter. IEEE Trans. Autom. Control 2002, Vol. 47, pp. 1648-1662. DOI: 10.1109/TAC.2002.803532
Papageorgiou, C., y Smith, M. C. (2005). Laboratory experimental testing of inerters. In Proceedings of the 44th IEEE Conference on Decision and Control, pp. 3351-3356. DOI: 10.1109/CDC.2005.1582679
Patton, W.J. (1980). Mechanical Power Transmission, Prentice Hall: Upper Saddle River, NJ, USA, 1980.
Rosenblueth, E., Meli, R. (1986). The 1985 Mexico earthquake. Concr. Int., Vol. 8, pp. 23-34.
Rosenblueth, E., Arciniega, A. (1992). Response spectral ratios. Earthq. Eng. Struct. Dyn. Vol. 21, pp. 483-492. DOI: 10.1002/eqe.4290210603
Ruiz-García, J., Cárdenas, Y. (2021). Seismic performance assessment of weak first-storey RC buildings designed with old and new seismic provisions for Mexico City. Eng. Struct., Vol. 232, 111803. DOI: 10.1016/j.engstruct.2020.111803
Teran-Gilmore, A., Jirsa, J.O. (2007). Energy demands for seismic design against low-cycle fatigue. Earthq. Eng. Struct. Dyn., Vol. 36, pp. 383-404. DOI: 10.1002/eqe.663
Thiers-Moggia, R., Málaga-Chuquitaype, C. (2020). Seismic control of flexible rocking structures using inerters. Earthq. Eng. Struct. Dyn., Vol. 49, No. 14, pp. 1519-1538. DOI: 10.1002/eqe.3315
Thiers-Moggia, R., Málaga-Chuquitaype, C. (2021). Effect of base-level inerters on the higher mode response of uplifting structures. J. Eng. Mech., Vol. 147, No. 8, 04021041. DOI: 10.1061/(ASCE)EM.1943-7889.0001935
Valente, M., Milani, G. (2018). Alternative retrofitting strategies to prevent the failure of an under-designed reinforced concrete frame. Eng. Fail. Anal., Vol. 89, pp. 271-285. DOI: 10.1016/j.engfailanal.2018.02.001
Vamvatsikos, D., Cornell, C.A. (2002). Incremental dynamic analysis. Earthq. Eng. Struct. Dyn., Vol. 31, No. 3, pp. 491-514. DOI: 10.1002/eqe.141
Villaverde, R.V. (1991). Explanation for the numerous upper floor collapses during the 1985 Mexico City earthquake. Earthq. Eng. Struct. Dyn. 1991, Vol. 20, No. 3, pp. 223-2410. DOI: 10.1002/eqe.4290200303
Watson-Lamprey, J., Abrahamson, N. (2006). Selection of ground motion time series and limits on scaling. Soil Dyn. Earthq. Eng., Vol. 26, No. 5, pp. 477-482. DOI: 10.1016/j.soildyn.2005.07.001
Wen, Y.K. (1976). Method for random vibration of hysteretic systems. J. Eng. Mech. Div., Vol. 102, No. 2, pp. 249-263. DOI: 10.1061/JMCEA3.0002106
cygnusmind