Ingeniería sísmica, núm. 114, 2025
Sociedad Mexicana de Ingeniería Sísmica A.C.
Esteban M. Cabrera-Vélez *
Universidad del Azuay, Ecuador
Iván G. Andrade-Dueñas iandrade@uazuay.edu.ec
Universidad del Azuay, Ecuador
Recibido: 05 junio 2025
Aceptado: 19 noviembre 2025
DOI: 10.18867/ris.114.699
Resumen.: Ecuador se encuentra en el cinturón de fuego del Pacífico, principal fuente de la mayoría de los terremotos más fuertes del mundo y, en particular, de algunos de los eventos sísmicos más destructivos ocurridos en territorio ecuatoriano. Este trabajo analiza el desempeño y la vulnerabilidad sísmica de dos edificaciones educativas proyectadas antes de la publicación de la Norma Ecuatoriana de la Construcción (NEC), y una edificada posteriormente, para determinar si las estructuras concebidas antes de esta normativa son más vulnerables que aquellas diseñadas después. Se utilizó el programa ETABS para el modelado estructural y la obtención de la curva de capacidad, y se realizó un análisis por desempeño aplicando el método de linealización equivalente descrito en el documento FEMA 440. Posteriormente se evaluó la fragilidad mediante el criterio de HAZUS. Los resultados indican que las estructuras previas a la NEC deben ser evaluadas y reforzadas para garantizar un correcto desempeño, así como la seguridad de sus ocupantes. Por tanto, deben estudiarse las edificaciones previas a la NEC en mayor escala para mejorar la gestión del riesgo sísmico.
Palabras clave: análisis no lineal, vulnerabilidad sísmica, riesgo sísmico.
Abstract.: Ecuador is located in the Pacific Ring of Fire, the principal source of most of the world's strongest earthquakes and, in particular, of some of the most destructive seismic events recorded in Ecuadorian territory. This study examines the performance and seismic vulnerability of two educational buildings designed before the publication of the Ecuadorian Construction Code (NEC) and one constructed afterwards, to determine whether structures conceived prior to this regulation are more vulnerable than those designed later. The ETABS software was used for structural modelling and obtaining the capacity curve, and a performance analysis was conducted using the equivalent linearization method described in the FEMA 440 document. Subsequently, fragility was assessed based on the HAZUS criterion. The results indicate that structures built prior to the NEC must be evaluated and retrofitted to ensure proper performance and the safety of their occupants. Therefore, pre-NEC buildings should be studied on a larger scale to enhance seismic risk management.
Keywords: nonlinear analysis, seismic vulnerability, seismic risk.
INTRODUCCIÓN
El territorio ecuatoriano presenta una alta sismicidad influenciada por la presencia de la zona de subducción frente a las costas del país, así como por terremotos intraplaca y corticales (Quinde Martínez & Reinoso Angulo, 2016; Jiménez Pacheco et al., 2018) y aquellos relacionados con la actividad volcánica. Debido a esto el Ecuador ha experimentado terremotos muy destructivos como los ocurridos en 1797 con magnitud 8.3 en la escala de Gutemberg-Richter (Gutemberg & Richter, 1956) y epicentro en la antigua Villa de Riobamba, que causó más de doce mil víctimas destruyendo toda la villa y obligando a sus supervivientes a migrar a lo que hoy es la ciudad de Riobamba (Egred, 2000; Instituto Geofísico, 2012; Secretaría Nacional de Gestión de Riesgos, 2016), o en 1906, con magnitud momento (Mw) 8.8, y con epicentro en el mar frente a las costas de Esmeraldas en la frontera de Ecuador con Colombia, que fue generado por el desplazamiento de una franja de 500 km en la zona de contacto entre las placas de Nazca y Sudamericana. Este evento causó un tsunami muy destructivo en la zona de Tumaco en Colombia (Instituto Geofísico, 2012; Ruiz, 2024) y es considerado uno de los eventos más fuertes registrados a escala global. Más recientes son los eventos ocurridos en 2016 con magnitud 7.8 (Mw) y epicentro en Pedernales, el cual es considerado el terremoto más grande en términos de aceleración registrado hasta la fecha (JCS et al., 2016), y que se sintió en Cuenca con una intensidad de 4 según la Escala Macrosísmica Europea (EMS) (Grünthal, 1998), o bien en 2023, y con epicentro en Isla Puná, un evento de magnitud 6.64 (Mw) y que se sintió con intensidad 4-5 (EMS) en Cuenca, provocando algunos daños en edificaciones y una víctima mortal (Hernández et al., 2023; Redacción Elcomercio.com, 2023). En particular, para la ciudad de Cuenca las fuentes de terremotos no sólo están relacionadas a la zona de subducción, sino también estarían influenciadas por la presencia de la falla de Girón, la misma que tendría la capacidad de generar un terremoto de 7.1 (Mw), y que presuntamente habría sido la causante del terremoto del 29 de junio de 1887 (Jiménez Pacheco et al., 2018). Por otra parte, estudios como el de (Quinde Martínez & Reinoso Angulo, 2016) concluyen que la Norma Ecuatoriana de la Construcción (NEC) (Ministerio de Desarrollo Urbano y Vivienda, 2014) podría estar subestimando los valores de la aceleración máxima del suelo y, por tanto, las edificaciones verían su vulnerabilidad incrementada ante la ocurrencia de un evento de gran magnitud. En esta misma línea, el trabajo de Avila Guamán et al. (2024) establece que los edificios de adobe y ladrillo, que es la tipología dominante en los edificios patrimoniales de la ciudad de Cuenca, tendrían una alta probabilidad de colapsar en el caso de la ocurrencia de un terremoto de intensidad media-alta, lo que pone a la cuidad en una situación muy vulnerable ante la ocurrencia de terremotos fuertes, y para los cuales las edificaciones, particularmente las de centro histórico, no están preparadas. Sin embargo, estudios de vulnerabilidad con alcance hacia otras tipologías también son necesarios, como es el caso de las edificaciones construidas durante la década de los años 80 o 90, y que actualmente funcionan como edificios residenciales, o como edificios destinados para fines educacionales. Para estos últimos, la NEC establece un objetivo de desempeño relacionado a la prevención del colapso para la demanda sísmica definida por el terremoto máximo probable, es decir, aquel evento con un periodo de retorno de 2500 años; sin embargo, debe extenderse este análisis hacia edificios proyectados luego de la publicación de la norma NEC en el año 2011 y en los cuales se suponen introducidas las reglas sismorresistentes que harían a estos edificios más seguros ante la ocurrencia de un terremoto. Con estos antecedentes, en el presente trabajo se pretende llevar a cabo una revisión del desempeño sísmico y vulnerabilidad de tres edificios, dos pre-NEC y uno post-NEC, cuya tipología es común en edificios educativos.
METODOLOGÍA
Los edificios que serán objeto del presente trabajo son 2 edificios de estructura de hormigón armado pre-NEC y 1 edificio de estructura metálica post-NEC, que en adelante serán llamados Ed01, Ed02 y Ed03, respectivamente. Los edificios Ed01 y Ed02 han sido clasificados como C1M, mientras que el edificio Ed03 como S1M, según Hazus (FEMA/NIBS, 2020). A partir de la información disponible para cada uno ha sido posible construir un modelo numérico representativo usando el programa ETABS (Computers & Structures, Inc. (CSI), 2024), para luego obtener la curva de capacidad o curva pushover, según el procedimiento indicado en los documentos ATC-40, o FEMA440, también llamado ATC-55 (Applied Technology Council, 1996; FEMA-440/ATC55, 2005). Este proceso consiste en aplicar al modelo numérico de cada edificación un patrón de cargas monotónico incremental, en sentido lateral, de tal forma que se pueda describir el comportamiento de éste desde desplazamientos muy pequeños hasta el colapso (Cabrera, 2023). Así entonces, se obtiene una curva que relaciona el desplazamiento, medido en un nodo de control ubicado en la parte más alta de la estructura, o algún parámetro de interés, como la deriva máxima de entrepiso, con el cortante en la base, para cada incremento de carga. La Figura 1 muestra un esquema de este proceso.
A continuación, es necesario determinar la demanda sísmica, que en general, puede definirse a partir del espectro elástico normalizado de la NEC vigente, o bien a partir del espectro de respuesta de una señal símica de interés, siempre que sea representativa del movimiento del suelo en el sitio de emplazamiento de la estructura en análisis (Cabrera, 2023). Para el presente trabajo se ha definido esta demanda a partir de lo estipulado en la NEC, considerando efectos locales para suelos tipo C y D. la Figura 2 muestra la demanda sísmica que será usada para el análisis de los modelos numéricos obtenidos.

El siguiente paso consiste en enfrentar el par capacidad-demanda sobre un sistema de referencia común llamado ADRS (acceleration-displacement response spectrum) en el cual se obtiene su intersección, o punto de desempeño, y que representa a la máxima respuesta de una estructura medida en términos de algún parámetro de interés, para una demanda sísmica determinada. Para la obtención de este parámetro puede aplicarse el método del espectro de capacidad (MEC) (Applied Technology Council, 1996) o bien el método de la linealización equivalente (MLE) (FEMA-440/ATC55, 2005), entre otros. Ambos métodos se basan en un proceso iterativo para encontrar la solución; sin embargo, el MLE es una mejora al MEC, y si bien los resultados son ligeramente distintos, ambas propuestas proyectan el desplazamiento con cierta cercanía por lo cual, puede usarse cualquiera de ellas en el análisis. En el presente trabajo se usará el MLE descrito en detalle en el documento FEMA440, el cual propone 3 formas de encontrar la respuesta no lineal de un sistema de múltiples grados de libertad, mediante un sistema lineal equivalente con periodo efectivo T eff y amortiguamiento efectivo B eff . Estos parámetros son una función de las características de la curva de capacidad, del periodo inicial, y de la demanda de ductilidad (m) (FEMA-440/ATC55, 2005), teniendo como límite de aplicación estructuras con ductilidades mayores a 10. En contraste al MEC, que hace uso del periodo secante, el MLE usa el periodo efectivo, el cual es más bajo, para definir el punto de desempeño; sin embargo, es necesario multiplicar el espectro de demanda por un factor modificador M que transforma las ordenadas del espectro de demanda en formato ADRS a un formato MADRS para buscar la intersección de éste con el espectro de capacidad. Un esquema de este proceso puede apreciarse en la Figura 3.

A continuación, es posible llevar a cabo un análisis por desempeño, que brinda una visión determinista de la respuesta de la edificación, y permite situar el punto de desempeño en un determinado intervalo sobre la curva de capacidad con el objetivo de establecer el daño asociado. Para esto es necesario definir los límites que definen dicho intervalo, y que dependen de algunos factores; entre otros, el criterio usado, la altura de la edificación, la clasificación de la estructura, el periodo de vibración, etc. Existen varios criterios para establecer estos límites; entre otros, los límites de desempeño definidos en Vision2000 (SEAOC, 1995), y los umbrales de daño establecidos por RISK-UE (Milutinovic & Trendafiloski, 2003) y Hazus (FEMA/NIBS, 2020). En este trabajo se usarán los umbrales de daño descritos en Hazus. Para aplicar el escenario de Hazus (FEMA-440/ATC55, 2005) en los modelos Ed01 y Ed02, los valores se tomaron de las tablas 5-14 y 5-15 correspondientes low code y pre code, respectivamente, para el caso C1M; mientras que para Ed03 los valores se tomaron de la tabla 5-13 correspondiente a moderate code, para el caso S1M.
A partir de estos límites es posible también construir un modelo de fragilidad, que consiste en una familia de curvas que describen la probabilidad de estar o exceder un determinado estado de daño (Milutinovic & Trendafiloski, 2003; FEMA/NIBS, 2020; Cabrera, 2023), dado un determinado desplazamiento que se define a partir del punto de desempeño. Estas curvas se modelan mediante una distribución cumulativa lognormal, cuya expresión se presenta en la Ecuación 1.
En donde Sd representa el desplazamiento espectral, o bien el parámetro que se considera para el análisis, S d,ds es el valor medio del desplazamiento para el cual el edificio alcanza un determinado umbral de daño ds i , β ds es la desviación estándar del logaritmo natural del desplazamiento espectral del estado de daño, y finalmente Φ representa a la función de distribución cumulativa. Según RISK-UE (Milutinovic & Trendafiloski, 2003), la probabilidad de estar, o superar un determinado estado de daño P(dsi), se fija en un 50%, y las probabilidades de los demás estados de daño se modelan mediante una distribución beta, cuyos valores se muestran en la Tabla 1.
| P(dsi) | P(ds1) | P(ds2) | P(ds3) | P(ds4) |
| P(ds1) = 0.5 | 0.5 | 0.119 | 0.012 | 0 |
| P(ds2) = 0.5 | 0.896 | 0.5 | 0.135 | 0.008 |
| P(ds3) = 0.5 | 0.992 | 0.866 | 0.5 | 0.104 |
| P(ds4) = 0.5 | 1 | 0.998 | 0.881 | 0.5 |
Así entonces, mediante estos parámetros es posible dar forma a las curvas de fragilidad, de las cuales se desprenden los histogramas de daño que indican la probabilidad de excedencia de cada uno de los diferentes estados de daño, para el desplazamiento correspondiente al punto de desempeño, y que indican cuál es el estado de daño con más probabilidad de ocurrencia.
El análisis de vulnerabilidad finaliza con la determinación de un parámetro que describe en términos cuantitativos el porcentaje de daño esperado de la edificación. Este parámetro se conoce como índice de daño, y será obtenido mediante dos criterios: (Kappos, 1997), que propone un índice de daño medio o global, calculado a partir de las curvas de fragilidad como una media normalizada de la sumatoria ponderada de las probabilidades de excedencia de cada estado de daño, mediante la Ecuación 2; así como el propuesto por Cabrera (2023) en su tesis doctoral, y que obtiene un valor aplicado específicamente al daño estructural calculado a partir del punto de desempeño mediante la Ecuación 3.
Los parámetros de la Ecuación 2 hacen referencia al número de estados de daño no nulos (N = 4), mientras que DSm se define como daño medio y corresponde a la sumatoria de la probabilidad de daño de cada estado de daño, ponderada entre 1 y 4. Por su parte, la propuesta de Cabrera (2023) (Ecuación 3) consiste en verificar el número de rótulas plásticas que se encuentran en cada uno de los distintos niveles de daño di presentados en la Figura 4, para cada paso j del pushover, asignando a éstas los factores de ponderación mostrados en la Tabla 2. El coeficiente 0 corresponde a cualquier rótula plástica que se encuentre en el tramo AB, o rango lineal, pasado el punto B, y antes del límite de ocupación inmediata (IO), el factor es 1, correspondiente con niveles de daño leve, entre IO y el límite de seguridad de vida (LS) el factor es 2 y corresponde a niveles de daño moderado, entre LS y el límite de prevención del colapso (CP) el factor es 3 y corresponde a estados de daño severo. Para los tramos superiores a CP, el factor es 4 y se corresponde con niveles de colapso. Finalmente, du representa el nivel de daño último, asociado al cómputo ponderado de las rótulas plásticas registradas en el punto final de la curva de capacidad. Este punto puede definirse cuando el cortante basal se ha reducido por debajo del 80%, respecto del cortante basal máximo, o bien, cuando se haya alcanzado la deriva de entrepiso correspondiente al último umbral de daño usado en el análisis. Todos los resultados de este trabajo han sido procesados usando el software MATLAB (The Mathworks Inc., 2025).
| Tramo | Estado (di) | Ponderación (ki) |
| A-B | d1 | 0 |
| B-IO | d2 | 1 |
| IO-LS | d3 | 2 |
| LS-CP | d4 | 3 |
| CP en adelante | d5 | 4 |

RESULTADOS
A partir del desarrollo del presente trabajo se han obtenido varios resultados relevantes a la realidad de algunas edificaciones usadas para fines educacionales; sin embargo, es necesario obtener información más detallada, y de más edificaciones, para poder establecer un criterio más concreto sobre la situación de las estructuras dedicadas a estos fines. Debido a que los edificios tienen dos ejes principales bien definidos, los resultados aquí presentados corresponderán al eje con mayor vulnerabilidad.
Edificio Ed01
El edificio fue analizado en detalle según proyecto de investigación 2019 - 080 del Instituto de Estudios de Régimen Seccional del Ecuador (IERSE) de la Universidad del Azuay (UDA). Este edificio fue construido en 1998, previo a la publicación de la NEC, y su estructura constaba de cuatro pisos. La estructura está conformada mediante pórticos de hormigón armado resistentes a momentos de 6 m de luz entre ejes, compuestos por columnas cuadradas de 50 cm de lado en su mayoría, con algunas columnas de 50 cm x 30 cm que llegan sólo hasta la tercera planta y que están localizadas en la parte posterior, y vigas banda de 50 cm x 30 cm; mientras que las losas fueron alivianadas usando bloques de pómez. La Figura 5 muestra el modelo numérico para esta edificación, en la Figura 5b las flechas indican la ubicación de las columnas de 50 cm x 30 cm.

Según el estudio geotécnico llevado a cabo en las inmediaciones de esta edificación, la estructura estaría cimentada sobre un suelo tipo D, o quizás peor, lo cual provocaría que el punto de desempeño aumente, con el consecuente incremento en la estimación de la vulnerabilidad y el daño.
Los resultados obtenidos para este modelo se presentan en la Figura 6, en donde se aprecia claramente que el comportamiento sísmico no es adecuado según lo requerido por la norma NEC vigente, debido a que las derivas correspondientes a los puntos de desempeño, para las demandas definidas según T475 y T2500, superan el 2% definido como seguridad de vida, situándose en 2.65% y 3.37%, correspondientes al estado de daño extenso y completo, respectivamente. Esta situación configura unas curvas de fragilidad cuya intersección con los puntos de desempeño reflejan también una mayor participación de los estados de daño superiores, es decir daño extenso y daño completo.

El histograma de daño mostrado en la Figura 7a, confirma que la probabilidad de excedencia más alta está relacionada a la ocurrencia de los estados de daño extenso y completo, con valores asociados de 43.37% y 50.74%, respectivamente. Respecto de la curva de daño medio (Figura 7b), ésta muestra porcentajes de daño de 80% y 85%, mientras que la curva de daño estructural (Figura 7c) presenta porcentajes de 54% y 93%, para todos los casos estos valores, que son muy elevados, se corresponden con los puntos de desempeño según las demandas definidas para T475 y T2500, respectivamente. Esto podría indicar que de darse un evento extremo la posibilidad de que la estructura pueda ser rehabilitada son muy bajas, y a un costo muy alto en su proceso de rehabilitación, o bien, que es más probable que el edificio colapse, con el consecuente riesgo a la vida de las personas que desarrollan sus actividades diarias en esta edificación, y el evidente incremento en el costo de recuperación de la estructura perdida.

La Tabla 3 muestra un resumen de los resultados obtenidos. Los valores para el punto de desempeño están presentados en porcentaje de deriva máxima de entrepiso.
| Demanda | Punto de desempeño | Estado de daño | Daño global | Daño estructural |
| T475 | 2.65 % | Extenso | 80 % | 54 % |
| T2500 | 3.37 % | Completo | 85 % | 93 % |
Edificio Ed02
Esta edificación fue analizada según proyecto de investigación 2020-0104 del IERSE de la UDA. Fue construida a principios de la década de los años 80, y tuvo como base de diseño el código de construcción vigente en ese entonces, el mismo que no contenía en su texto disposiciones sismorresistentes. La estructura de esta edificación es de 4 pisos de hormigón armado y losa nervada de hormigón armado, con una combinación de vigas banda y vigas descolgadas, y paredes de mampostería de ladrillo. Las varillas de acero usadas para la construcción de esta estructura tienen un límite de fluencia de 2800 kg/cm2, acorde al tipo y calidad de acero usado en ese tiempo, y al detalle de los materiales usados que consta en el plano estructural de la misma. En la Figura 8 se muestra el modelo numérico obtenido para esta edificación.

Según el estudio geotécnico disponible, la demanda sísmica puede definirse considerando un suelo tipo C, para la cual esta edificación muestra un comportamiento sísmico inadecuado. De la misma forma que en el caso del edificio Ed01, si se presta atención a la Figura 9, las derivas de entrepiso correspondientes al punto de desempeño, obtenido según las demandas usadas en el análisis, superan ampliamente la deriva de seguridad de vida, fijada en el 2% según la norma NEC, y sobrepasando en ambos casos el umbral de daño completo con valores de 2.79% y 3.85%, para el punto de desempeño obtenido según las demandas sísmicas T475 y T2500, respectivamente.

Esto se traduce en una alta probabilidad de estar o superar el estado de daño completo, con probabilidades de 52.24% y 69.04% (Figura10a). Por otra parte, el índice de daño global calculado en este caso es muy elevado, como muestra la Figura10b, con valores de 85% y 91%, mientras que el porcentaje de daño estructural también es muy alto (Figura10c) con valores calculados de 71% y 97%; todos éstos, obtenidos para los puntos de desempeño según las demandas sísmicas definidas para T475 y T2500, respectivamente.

Estos resultados indican que, de presentarse una demanda elevada, el edificio podría colapsar, o presentar daños que lo hagan inutilizable de manera permanente.
La Tabla 4 muestra el resumen de los resultados obtenidos para esta edificación. Los valores correspondientes al punto de desempeño están definidos en porcentaje de deriva máxima de entrepiso.
| Demanda | Punto de desempeño | Estado de daño | Daño global | Daño estructural |
| T475 | 2.79 % | Completo | 85 % | 71 % |
| T2500 | 3.85 % | Completo | 91 % | 97 % |
Edificio Ed03
Este edificio fue objeto de estudio del proyecto de investigación 2023-0168 del IERSE de la Universidad del Azuay. Construido aproximadamente en el año 2012, tiene 3 pisos y cubierta, y está compuesto por una estructura de acero tipo A36 con losa de hormigón con placa colaborante, y paredes aligeradas. Fue diseñado siguiendo las directrices de la norma NEC. Las columnas y vigas usadas son en su gran mayoría de sección tipo cajón, existiendo en algunos casos secciones tipo I. En el caso de la cubierta, se han utilizado perfiles tipo G (correas). La Figura 11 presenta el modelo numérico obtenido en ETABS.

Respecto a los efectos locales, el estudio geotécnico realizado indica que la primera capa de suelo sobre el cual está cimentado el edificio sería del tipo D, según la Tabla 2 de la NEC-SE-DS. Sin embargo, el consultor estructural manifestó que el suelo considerado para el análisis y diseño es de tipo B. En este trabajo, se adoptará una perspectiva menos optimista usando un suelo tipo C. Es importante mencionar que, de considerarse en el análisis un suelo tipo B, los resultados serían más satisfactorios, debido a que mientras mejores son las condiciones del suelo de cimentación, mejor es el desempeño del edificio en términos sísmicos.
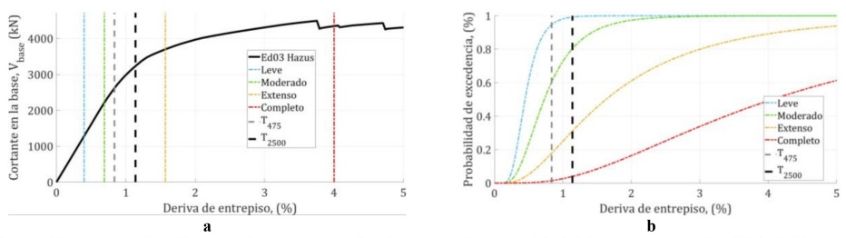
La NEC indica que los edificios para uso educacional deben ser sometidos a la demanda máxima posible, que está definida según un periodo de retorno de 2500 años (T2500). Según la verificación llevada a cabo, el edificio se comportará adecuadamente para esta demanda como se puede ver en la Figura 12 donde el desempeño corresponde al estado de daño moderado. Por otra parte, es importante mencionar que ninguna de las dos demandas consideradas supera la deriva del 2%, correspondiente al límite de seguridad de vida con valores de 0.84% y 1.14%. Así también, la intersección de las curvas de fragilidad con los puntos de desempeño obtenidos configura probabilidades de ocurrencia mayores de los estados de daño inferiores, como se verá reflejado más adelante en los histogramas de daño presentados en la Figura 13.


En cuanto al histograma de daño que se desprende de las curvas de fragilidad, éste muestra mayor probabilidad de ocurrencia del estado de daño moderado (Figura13a) con probabilidades de 42.50% y 49.30%, dejando a los estados de daño superiores con probabilidades muy bajas. Esto también se refleja en la curva de daño medio presentada en la Figura13b, que indica un daño global de 44% y 54%, mientras que la estructura (Figura13c) tendrá un daño aproximado de 8% y 21%, todos estos valores correspondientes a los puntos de desempeño obtenidos según las demandas T475 y T2500, respectivamente.
La Tabla 5 muestra un resumen de los resultados obtenidos para esta edificación. Los valores correspondientes al punto de desempeño que se presentan en esta tabla están expresados en porcentaje de deriva máxima de entrepiso.
| Demanda | Punto de desempeño | Estado de daño | Daño global | Daño estructural |
| T475 | 0.84 % | Moderado | 44 % | 8 % |
| T2500 | 1.14 % | Moderado | 54 % | 21 % |
DISCUSIÓN
La NEC señala que los edificios de tipo especial, en los que están clasificados los edificios destinados a fines educacionales, deben cumplir un objetivo de desempeño de seguridad de vida para la demanda correspondiente a T475, y prevención del colapso para la demanda T2500, fijando la seguridad de vida en el 2%, sin definir cuál es este límite en el caso de la prevención de colapso. Sin embargo, existen criterios que establecen este valor alrededor del 2.5% (SEAOC, 1995), llegando inclusive hasta el 4%, siempre que no se detecte punzonamiento en las losas, con lo cual este valor se reduce a 2.9% en el caso de estructuras de hormigón, y permite hasta un 5% en el caso de estructuras de acero (FEMA, 2000). Sin embargo, estos valores deben ser usados como referenciales puesto que, edificaciones muy antiguas podrían tener límites significativamente más bajos (Applied Technology Council, 1996; Cabrera, 2023). Con estos antecedentes, las dos edificaciones pre-NEC, Ed01 y Ed02, no cumplen con lo requerido en su desempeño; mientras que la edificación post-NEC Ed03 tendría un desempeño adecuado.
En estas condiciones, la estructura de las edificaciones Ed01 y Ed02 debería ser reforzada para prevenir su eventual colapso estructural y salvaguardar las vidas de las personas que diariamente acuden a sus instalaciones. Por otra parte, es importante mencionar que el colapso de una estructura no está relacionado únicamente a la integridad estructural, ni a las personas que ocupan estos edificios, está relacionado también a un tema económico y al tiempo de reconstrucción/rehabilitación, para poder llevar a cabo en ellas una actividad que, al no estar disponibles, o no ser seguras para su uso regular, dejaría a muchos estudiantes sin poder recibir sus clases con normalidad; pero también, está relacionado a un tema social y de gestión de desastres, debido a que normalmente son estas edificaciones las que se usan como albergues en el caso de un evento catastrófico. Por lo tanto, para evaluar la vulnerabilidad de las estructuras, es necesario aplicar un enfoque holístico (Avila Guamán et al., 2024) que indique, no solo el estado individual de cada edificación en términos ingenieriles, sino también el contexto territorial en donde están ubicadas considerando más variables en el análisis de tal manera que la gestión de riesgos sea más efectiva.
Otro factor importante para considerar en el análisis de vulnerabilidad de las edificaciones es el efecto en éstas de eventos sísmicos ocurridos a lo largo de su vida útil, con el objetivo de entender y mejorar la resiliencia de las edificaciones debido a la acumulación de daño (Cabrera et al., 2022). Por esta razón, es importante calibrar los modelos numéricos mediante el uso de parámetros propios de la edificación a la que representan. Esto es posible mediante el uso de distintas técnicas de análisis modal operacional que buscan obtener los parámetros dinámicos de las edificaciones, dígase periodos o frecuencias propias, a partir de la medición de su vibración libre, usando como excitación externa únicamente el ruido ambiental (Cabrera et al., 2018, Gonzalez-Drigo et al., 2019). Dichas propiedades dinámicas son una función directa de las características de la estructura, y es esperable que cambios en estas características provoquen cambios medibles en las propiedades dinámicas (Luzi et al., 2012; Vidal et al., 2014; Cabrera, 2023), puesto que si existe algún tipo de afectación a la rigidez de la estructura el valor de las frecuencias se verá reducido con el consecuente aumento de periodo de vibración.
La Figura 14 muestra una comparación entre los espectros elásticos normalizados obtenidos para la ciudad de Cuenca, según lo dispuesto en la Norma Ecuatoriana de la Construcción (NEC-15) (Ministerio de Desarrollo Urbano y Vivienda, 2014) para todos los tipos de suelo, y los espectros de respuesta obtenidos de los registros de las señales sísmicas de algunas estaciones cercanas a la ciudad de Cuenca pertenecientes al Instituto Geofísico de la Escuela Politécnica Nacional. Como se puede ver, los espectros de respuesta obtenidos son significativamente menores que los determinados según lo indicado en la norma NEC vigente para todos los tipos de suelo, lo cual es indicativo de que sismos mayores, más cercanos, o más superficiales, podrían causar efectos más severos en las edificaciones de la ciudad. Las señales usadas para la obtención de los espectros de respuesta del evento del 18 de marzo de 2023 fueron tratadas y procesadas por los autores, y fueron obtenidas de la base de datos del Instituto Geofísico (IG) de la Escuela Politécnica Nacional.

Es necesario recalcar la importancia de la correcta determinación de la demanda sísmica puesto que tiene un impacto directo en el cálculo del punto de desempeño. Así, cuando se considera un suelo de peores condiciones, la previsión del punto de desempeño puede aumentar, con el consecuente aumento en la vulnerabilidad y el daño esperado en la estructura (Molina Cabrera y Rubio Vintimilla, 2023; Hernández y Santacruz, 2024), y si es posible, se deben considerar los efectos de direccionalidad que pueden afectar negativamente a las estructuras con ejes principales de capacidades distintas (Cabrera, 2023).
CONCLUSIONES
Con base a los resultados de los casos de estudio usados en el presente trabajo, se puede comprobar que las edificaciones construidas antes de la publicación de la Norma Ecuatoriana de la Construcción serían más vulnerables que las concebidas después. Por lo tanto, es necesario llevar a cabo un estudio a mayor escala de este segmento de edificios, con el objetivo de garantizar la seguridad de sus ocupantes ante la ocurrencia de un evento sísmico de gran magnitud.
Es necesario medir las propiedades dinámicas de las estructuras, particularmente de aquellas pre- NEC. Para esto pueden usarse sistemas de medición remotos, o bien sistemas que se instalen de forma permanente, lo cual ayudará a verificar la salud estructural de las edificaciones, y será de gran ayuda a la hora de calibrar modelos numéricos para describir de mejor manera el comportamiento de éstas, así como para establecer una línea base respecto de la cual verificar su estado luego de la ocurrencia de un evento sísmico.
Es importante mencionar que la respuesta de una edificación depende del tipo de suelo que se considere en el análisis; puesto que, mientras mejor es la calidad del suelo, mejor será el desempeño sísmico del edificio. En estas condiciones, y debido a la falta de registros propios, y de las propias limitaciones de la norma NEC, son necesarios estudios de microzonificación que permitan determinar con precisión la respuesta del suelo en las distintas zonas de la cuidad de Cuenca, de tal manera que se puedan definir demandas sísmicas más específicas que permitan diseñar y evaluar estructuras con un menor nivel de incertidumbre.
Un efecto muy importante, y pocas veces considerado en los análisis, es el efecto de direccionalidad de la acción sísmica sobre las estructuras, puesto que la respuesta de éstas depende de la orientación de la señal sísmica. Por esta razón es deseable que las edificaciones tengan un desempeño adecuado, según ambos ejes principales.
Finalmente, para la evaluación de vulnerabilidad de las edificaciones es necesario aplicar un enfoque holístico, puesto que considerar únicamente el aspecto estructural sólo muestra una de las aristas de un problema que es más amplio, y no considera todas las variables asociadas, que pueden ser, entre otras, de tipo económico, social, y territorial, de cara a la gestión de riesgos en el caso de movimientos fuertes.
Agradecimientos
Los resultados presentados en esta investigación provienen del proyecto “Evaluación de la salud estructural en edificaciones aplicando metodologías avanzadas de análisis de vulnerabilidad y tecnología RAR, Fase 2” con código 2024-0141, y “Evaluación de la salud estructural en infraestructuras aplicando metodologías avanzadas de análisis de vulnerabilidad y tecnología RAR, Fase 3” con código 2025-0150, del Instituto de Estudios de Régimen Seccional del Ecuador (IERSE) de la Universidad del Azuay (UDA).
Referencias
Applied Technology Council. (1996). ATC-40, Seismic Evaluation and Retrofit of Concrete Buildings. Technical report, Seismic Safety Commission, Redwood City, California.
Avila Guamán, L. O., Bueno Pulla, D. N., y Ávila Guamán, J. A. (septiembre-octubre de 2024). Evaluation of the seismic vulnerability of typical buildings in the urban area of Cuenca by means of simulation and multivariate techniques. Ciencia Latina, 8(5), 10538-10551. DOI: https://doi.org/10.37811/cl_rcm.v8i5.14427
Cabrera, E. (2023). Metodología para estimación del daño sísmico en edificios en base a modelos numéricos avanzados y monitorizaciones RAR. Tesis doctoral, Universidad Politécnica de Cataluña, UPC - Barcelonatech, Barcelona. Retrieved 27 de Febrero de 2025, from Retrieved 27 de Febrero de 2025, from https://upcommons.upc.edu/handle/2117/396558
Cabrera, E., González-Drigo, R., Luzi, G., Vargas-Alzate, Y., Pujades, L., Alva, R., y Avila-Haro, J. (2022). Simulation and analysis of damage progression in a mid-rise RC building during an earthquake. Proceedings of the 3rd European Conference on Earthquake Engineering & Seismology, (pp. 1128- 1137). Bucharest.
Cabrera, E.; González-Drigo, R.; Luzi, G.; Vargas-Alzate, Y.; Pujades, L. (2018). Real Aperture Radar an Interferometric Technique to Assess Earthquake Damaged Structures. 16TH European Conference on Earthquake Engineering (16ECEE), (p. 12). Thessaloniki .
Computers & Structures, Inc. (CSI). (2024). ETABS: Building analysis and design V 22.3.0. https://www.csiamerica.com/
Crisafulli, F. J. (2018). Diseño sismoresistente de construcciones de acero. Mendoza, Argentina.
Egred, J. (2000). El Terremoto de Riobamba. Retrieved 17 de Febrero de 2025, from Instituto Geofísico de la Escuela Politécnica Nacional: https://www.igepn.edu.ec/publicaciones-para-la-comunidad/23- el-terremoto-de-riobamba-de-1797/file
FEMA. (2000). FEMA 356, Pre-Standard and Commentary for the Seismic Rehabilitation of Building. Washington, DC.
FEMA/NIBS. (2020). Hazus earthquake model. Technical manual. Hazus 4.2 SP3. Retrieved 27 de Febrero de 2025, from Retrieved 27 de Febrero de 2025, from https://www.fema.gov/sites/default/files/2020- 10/fema_hazus_earthquake_technical_manual_4-2.pdf
FEMA-440/ATC55. (2005). FEMA-440/ATC-55. Improvement of Nonlinear Static Seismic Analysis Procedures. Federal Emergency Management Agency/Applied Technical Council, California, U.S.A.
Gonzalez-Drigo, R., Cabrera, E., Luzi, G., Pujades, L. G., Vargas-Alzate, Y. F., y Avila-Haro, J. (2019). Assessment of post-earthquake damaged building with interferometric real aperture radar. Remote Sensing, 11(3), 2830. DOI: https://doi.org/10.3390/rs11232830
Grünthal, G. (1998). European Macroseismic Scale 1998 (EMS-98). Conseil de l’Europe, Cahiers du Centre Européen de Géodynamique et de Séismologie (Vol. 15). Luxenbourg. https://www.franceseisme.fr/EMS98_Original_english.pdf
Gutemberg, B., y Richter, C. (1956). Earthquake Magnitude, Intensity, Energy and Acceleration. Bulletin of the Seismological Society of America, 46(2), 105-145. DOI: https://doi.org/10.1785/BSSA0460020105
Hernández, C., y Santacruz, F. (2024). Análisis de vulnerabilidad sísmica de un edificio de estructura metálica para uso especial. Trabajo de titulación de Ingeniero Civil, Universidad del Azuay, Cuenca. https://dspace.uazuay.edu.ec/handle/datos/14583
Hernández, S., Ortiz, M., Barros, J., Segovia, M., Vaca, S., y Viracucha, E. (18 de Marzo de 2023). Informe sísmico especial No. 2023-003. Retrieved 17 de Febrero de 2025, from Instituto Geofísico de la Escuela Politécnica Nacional: https://www.igepn.edu.ec/servicios/noticias/2024-informe-sismico-especial-no-2023-003
Instituto Geofísico. (7 de Febrero de 2012). El Terremoto de Riobamba del 4 de Febrero de 1797. Retrieved 17 de Febrero de 2025, from https://www.igepn.edu.ec/servicios/noticias/582-el-terremoto-de-riobamba-del-4-de-febrero-de-1797
Instituto Geofísico. (30 de Enero de 2012). Terremoto de Esmeraldas de 1906 - Uno de los sismos más grandes de la historia reciente. Retrieved 17 de Febrero de 2025, from Retrieved 17 de Febrero de 2025, from https://www.igepn.edu.ec/servicios/noticias/575-terremoto-de-esmeraldas-de-1906-uno-de-los- sismos-m%C3%A1s-grandes-la-historia
JCS, AL, CV, y MR. (4 de Mayo de 2016). Informe sísmico especial N. 18 - 2016. Retrieved 17 de Febrero de 2025, from Retrieved 17 de Febrero de 2025, from https://www.igepn.edu.ec/servicios/noticias/1324-informe-sismico-especial-n-18- 2016
Jiménez Pacheco, J., Cabrera Cajamarca, J., Sánchez Beltrán, J., y Avilés Tenorio, F. (2018). Vulnerabilidad sísmica del patrimonio edificado del centro histórico de la cuidad de Cuenca: Lineamientos generales y avances del proyecto. MASKANA, 9(1), 59-78. DOI: https://doi.org/10.18537/mskn.09.01.07
Kappos, A. J. (1997). Seismic damage indices for RC buildings: evaluation of concepts and procedures. Progress in Structural Engineering and Materials, 1(1), 78-87. DOI: https://doi.org/10.1002/pse.2260010113
Luzi, G., Monserrat, O., y Crosetto, M. (2012). The Potential of Coherent Radar to Support the Monitoring of the Health State of Buildings. Research in Nondestructive Evaluation, 23(3), 125-145. DOI: https://doi.org/10.1080/09349847.2012.660241
Milutinovic, Z. V., y Trendafiloski, G. (2003). Risk-UE: An advanced approach to earthquake risk. WP4: Vulnerability of current buildings. Risk-UE project Handbook.
Ministerio de Desarrollo Urbano y Vivienda. (2014). Peligro Sísmico: Diseño Sismo Resistente. Norma Ecuatoriana de la construcción (NEC), Quito. Retrieved 2023, from Retrieved 2023, from https://www.habitatyvivienda.gob.ec/documentos-normativos-nec-norma-ecuatoriana-de-la- construccion /
Molina Cabrera, M., y Rubio Vintimilla, N. (2023). Influencia del tipo del suelo en la determinación del punto de desempeño en una estructura. Trabajo de titulación, Universidad del Azuay, Cuenca. https://dspace.uazuay.edu.ec/handle/datos/13390
Quinde Martínez, P., y Reinoso Angulo, E. (2016). Estudio de peligro sísmico de Ecuador y propuesta de espectros de diseño para la ciudad de Cuenca. Revista de Ingeniería Sísmica (94), 1-26. Retrieved 18 de Febrero de 2025, from Retrieved 18 de Febrero de 2025, from https://www.scielo.org.mx/scielo.php?script=sci_arttext&pid=S0185- 092X2016000100001
Redacción Elcomercio.com. (18 de Marzo de 2023). 14 fallecidos y 381 heridos por fuerte terremoto en Ecuador. El Comercio. https://www.elcomercio.com/actualidad/ecuador/fallecido-fuerte-sismo-ecuador.html
Riquetti, J. (2014). Estudio geotécnico de la Universidad del Azuay. Geotécnico, Cuenca.
Ruiz, M. (31 de Enero de 2024). El gran terremoto del 31 de enero de 1906. Retrieved 17 de Febrero de 2025, from Retrieved 17 de Febrero de 2025, from https://www.igepn.edu.ec/interactuamos-con-usted/2101-el-gran-terremoto-del-31-de- enero-de-1906
SEAOC. (1995). Vision2000: performance based seismic engineering of buildings. Sacramento: Structural Engineers Association of California.
Secretaría Nacional de Gestión de Riesgos. (18 de Julio de 2016). El terremoto de 1797 ha sido el más devastador de Ecuador. Retrieved 17 de Enero de 2025, from Retrieved 17 de Enero de 2025, from https://www.gestionderiesgos.gob.ec/el-terremoto-de-1797-ha-sido-el-mas-devastador-de-ecuador
The Mathworks Inc. (2025). Matlab the Language of Scientific Computing. r2025a. https://www.mathworks.com/
Vidal, F., Navarro, M., Aranda, C., y Enomoto, T. (2014). Changes in dynamic characteristics of Lorca RC buildings from pre- and post-earthquake ambient vibration data. Bulletin of Earthquake Engineering, 12(5), 2095-2110. DOI: https://doi.org/10.1007/s10518-013-9489-5
Notas
1 Se aceptarán comentarios y/o discusiones hasta cinco meses después de su publicación.
Notas de autor
*Autor para correspondencia: ecabrerav@uazuay.edu.ec
cygnusmind